Крупнейшая бесплатная информационно-справочная система онлайн доступа к полному собранию технических нормативно-правовых актов РФ. Огромная база технических нормативов (более 150 тысяч документов) и полное собрание национальных стандартов, аутентичное официальной базе Госстандарта. GOSTRF.com - это более 1 Терабайта бесплатной технической информации для всех пользователей интернета. Все электронные копии представленных здесь документов могут распространяться без каких-либо ограничений. Поощряется распространение информации с этого сайта на любых других ресурсах. Каждый человек имеет право на неограниченный доступ к этим документам! Каждый человек имеет право на знание требований, изложенных в данных нормативно-правовых актах!

  


 

ГОСТ Р 52726-2007

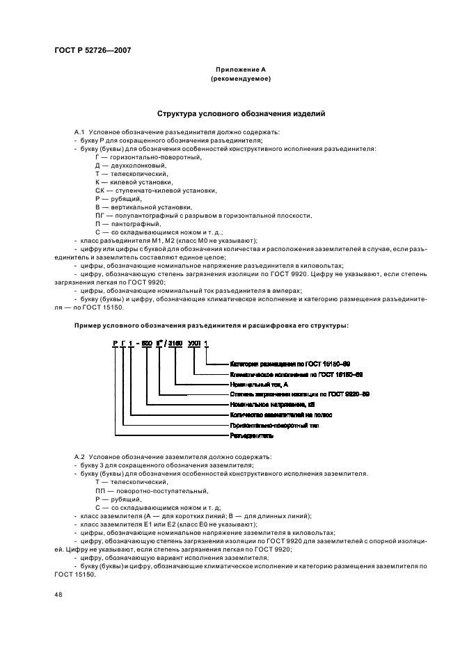
Разъединители и заземлители переменного тока на напряжение свыше 1 кВ и приводы к ним. Общие технические условия

Обозначение:ГОСТ Р 52726-2007
Текущий статус документа: действующий
Название документа рус.:Разъединители и заземлители переменного тока на напряжение свыше 1 кВ и приводы к ним. Общие технические условия
Название документа англ.:Alternating current disconnectors and earthing switches for voltage above 1 kV and operating mechanisms for them. General specifications
Дата актуализации текста:01.12.2013
Дата издания:01.04.2008
Дата введения:01.01.2008
Дата последнего изменения:22.05.2013
Переиздание:переиздание
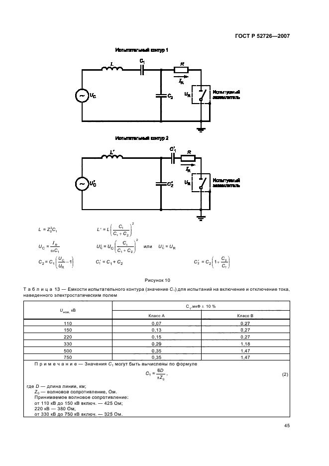
Область применения:Настоящий стандарт распространяется на разъединители и заземлители переменного тока на напряжение свыше 1 кВ промышленной частоты 50 Гц, а также на приводы к ним.
Требования настоящего стандарта не распространяется на разъединители и заземлители: специальных исполнений (например разъединители с ограничителями перенапряжения, а также штепсельные, со встроенными предохранителями, для комплектных распределительных устройств с элегазовой изоляцией); для работы в пожаро-, взрывоопасных помещениях (например в газовых шахтах); для частых коммутационных операций; для работы при сильной тряске, вибрациях или ударах (например на экскаваторах, драгах)
Список изменений:№0 от 28.03.2008 (рег. 28.03.2008) «Дата введения перенесена»
Приложение №1:Поправка к ГОСТ Р 52726-2007
ГОСТ Р 52726-2007ГОСТ Р 52726-2007ГОСТ Р 52726-2007ГОСТ Р 52726-2007ГОСТ Р 52726-2007ГОСТ Р 52726-2007ГОСТ Р 52726-2007ГОСТ Р 52726-2007ГОСТ Р 52726-2007ГОСТ Р 52726-2007ГОСТ Р 52726-2007ГОСТ Р 52726-2007ГОСТ Р 52726-2007ГОСТ Р 52726-2007ГОСТ Р 52726-2007ГОСТ Р 52726-2007ГОСТ Р 52726-2007ГОСТ Р 52726-2007ГОСТ Р 52726-2007ГОСТ Р 52726-2007ГОСТ Р 52726-2007ГОСТ Р 52726-2007ГОСТ Р 52726-2007ГОСТ Р 52726-2007ГОСТ Р 52726-2007ГОСТ Р 52726-2007ГОСТ Р 52726-2007ГОСТ Р 52726-2007ГОСТ Р 52726-2007ГОСТ Р 52726-2007ГОСТ Р 52726-2007ГОСТ Р 52726-2007ГОСТ Р 52726-2007ГОСТ Р 52726-2007ГОСТ Р 52726-2007ГОСТ Р 52726-2007ГОСТ Р 52726-2007ГОСТ Р 52726-2007ГОСТ Р 52726-2007ГОСТ Р 52726-2007ГОСТ Р 52726-2007ГОСТ Р 52726-2007ГОСТ Р 52726-2007ГОСТ Р 52726-2007ГОСТ Р 52726-2007ГОСТ Р 52726-2007ГОСТ Р 52726-2007ГОСТ Р 52726-2007ГОСТ Р 52726-2007ГОСТ Р 52726-2007ГОСТ Р 52726-2007ГОСТ Р 52726-2007ГОСТ Р 52726-2007ГОСТ Р 52726-2007ГОСТ Р 52726-2007

Поправка к ГОСТ Р 52726-2007

Обозначение:Поправка к ГОСТ Р 52726-2007
Дата введения:27.03.2008


Поправка к ГОСТ Р 52726-2007
 




ГОСТЫ, СТРОИТЕЛЬНЫЕ и ТЕХНИЧЕСКИЕ НОРМАТИВЫ.
Некоммерческая онлайн система, содержащая все Российские Госты, национальные Стандарты и нормативы.
В Системе содержится более 150000 файлов нормативно-технической документации, действующей на территории РФ.
Система предназначена для широкого круга инженерно-технических специалистов.

Рейтинг@Mail.ru Яндекс цитирования

Copyright © www.gostrf.com, 2008 - 2026