Крупнейшая бесплатная информационно-справочная система онлайн доступа к полному собранию технических нормативно-правовых актов РФ. Огромная база технических нормативов (более 150 тысяч документов) и полное собрание национальных стандартов, аутентичное официальной базе Госстандарта. GOSTRF.com - это более 1 Терабайта бесплатной технической информации для всех пользователей интернета. Все электронные копии представленных здесь документов могут распространяться без каких-либо ограничений. Поощряется распространение информации с этого сайта на любых других ресурсах. Каждый человек имеет право на неограниченный доступ к этим документам! Каждый человек имеет право на знание требований, изложенных в данных нормативно-правовых актах!

  


 

ГОСТ Р 52528-2006

Концентраты белково-витаминно-минеральные и амидо-витаминно-минеральные. Номенклатура показателей

Обозначение:ГОСТ Р 52528-2006
Текущий статус документа: действующий
Название документа рус.:Концентраты белково-витаминно-минеральные и амидо-витаминно-минеральные. Номенклатура показателей
Название документа англ.:Protein-vitamin-mineral and amide-vitamin-mineral concentrates. Index nomenclature
Дата актуализации текста:01.12.2013
Дата издания:01.06.2007
Дата введения:01.01.2007
Дата последнего изменения:22.05.2013
Переиздание:переиздание с поправкой
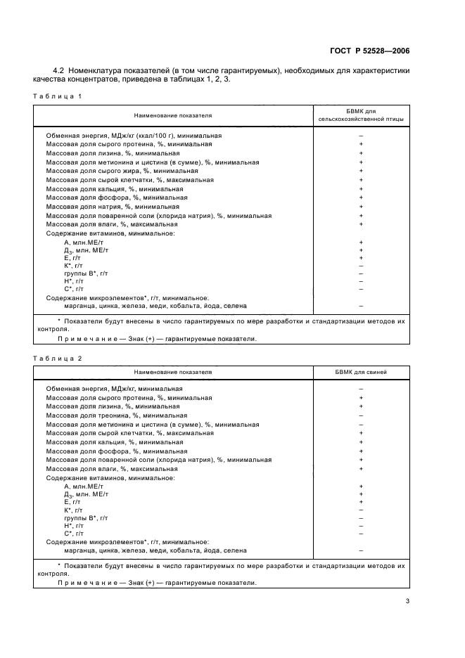
Область применения:Настоящий стандарт распространяется на белково-витаминно-минеральные и амидо-витаминно-минеральные концентраты, предназначенные для приготовления комбикормов у потребителя на основе имеющихся у него кормовых средств, и устанавливает номенклатуру показателей, характеризующих их качество
Список изменений:№0 от 09.06.2006 (рег. 09.06.2006) «Дата введения перенесена»
№0 от 29.08.2007 (рег. 29.08.2007) «Дата введения перенесена»
Приложение №1:Поправка к ГОСТ Р 52528-2006
Приложение №2:Поправка к ГОСТ Р 52528-2006
ГОСТ Р 52528-2006ГОСТ Р 52528-2006ГОСТ Р 52528-2006ГОСТ Р 52528-2006ГОСТ Р 52528-2006ГОСТ Р 52528-2006ГОСТ Р 52528-2006ГОСТ Р 52528-2006ГОСТ Р 52528-2006ГОСТ Р 52528-2006ГОСТ Р 52528-2006

Поправка к ГОСТ Р 52528-2006

Обозначение:Поправка к ГОСТ Р 52528-2006
Дата введения:09.06.2006


Поправка к ГОСТ Р 52528-2006

Поправка к ГОСТ Р 52528-2006

Обозначение:Поправка к ГОСТ Р 52528-2006
Дата введения:29.08.2007


Поправка к ГОСТ Р 52528-2006
 




ГОСТЫ, СТРОИТЕЛЬНЫЕ и ТЕХНИЧЕСКИЕ НОРМАТИВЫ.
Некоммерческая онлайн система, содержащая все Российские Госты, национальные Стандарты и нормативы.
В Системе содержится более 150000 файлов нормативно-технической документации, действующей на территории РФ.
Система предназначена для широкого круга инженерно-технических специалистов.

Рейтинг@Mail.ru Яндекс цитирования

Copyright © www.gostrf.com, 2008 - 2026