Крупнейшая бесплатная информационно-справочная система онлайн доступа к полному собранию технических нормативно-правовых актов РФ. Огромная база технических нормативов (более 150 тысяч документов) и полное собрание национальных стандартов, аутентичное официальной базе Госстандарта. GOSTRF.com - это более 1 Терабайта бесплатной технической информации для всех пользователей интернета. Все электронные копии представленных здесь документов могут распространяться без каких-либо ограничений. Поощряется распространение информации с этого сайта на любых других ресурсах. Каждый человек имеет право на неограниченный доступ к этим документам! Каждый человек имеет право на знание требований, изложенных в данных нормативно-правовых актах!

  


 

ГОСТ 3945-78

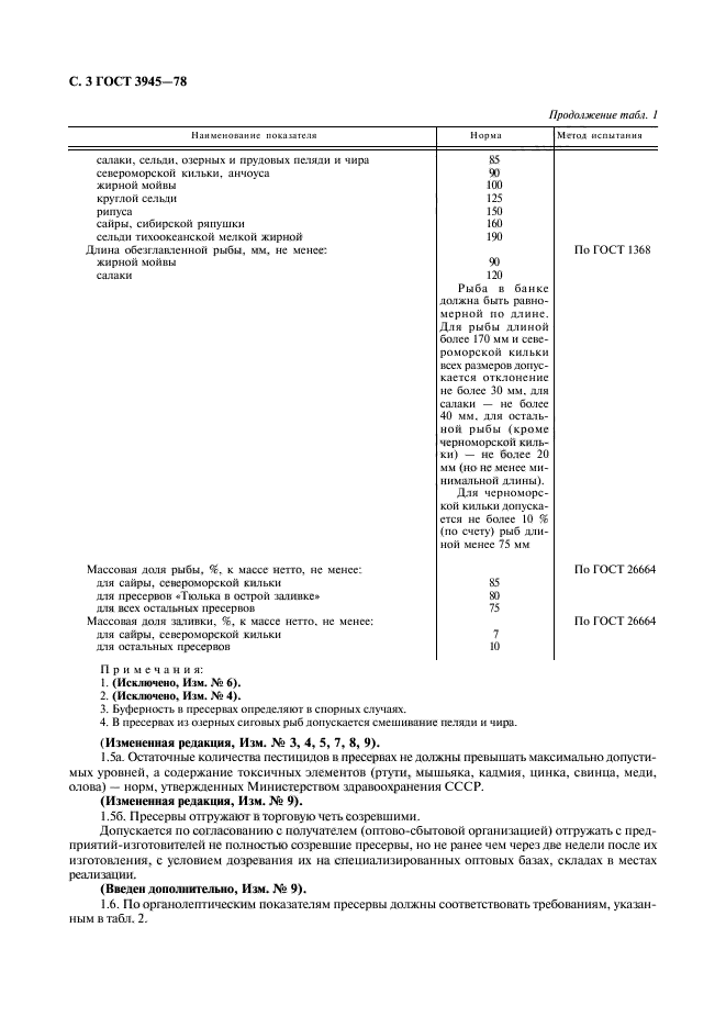
Пресервы рыбные. Рыба пряного посола. Технические условия

Обозначение:ГОСТ 3945-78
Текущий статус документа: действующий
Название документа рус.:Пресервы рыбные. Рыба пряного посола. Технические условия
Название документа англ.:Fish preserves. Fish in spicial brine. Specifications
Дата актуализации текста:01.12.2013
Дата издания:01.11.2008
Дата введения:01.01.1979
Дата последнего изменения:21.11.2013
Переиздание:переиздание с изм. 1
Взамен:
Область применения:Настоящий стандарт распространяется на пресервы, приготовленные из неразделанной рыбы следующих видов: каспийской, балтийской и североморской кильки; салаки; анчоуса; тюльки; хамсы; атлантической, тихоокеанской мелкой, тихоокеанской мелкой (озерной), беломорской, азово-черноморской (мелкой и средней), тигуна и круглой сельди; жирной мойвы; озерных и прудовых пеляди и чира; кильки черноморской; сайры; рянушки и рипуса, а также из обезглавленной жирной мойвы и салаки
Список изменений:№1 от 01.11.1979 (рег. 26.07.1979) «Срок действия продлен»
№2 от 01.05.1980 (рег. 18.01.1980) «Срок действия продлен»
№3 от 01.04.1982 (рег. 30.10.1981) «Срок действия продлен»
№4 от 01.04.1983 (рег. 09.11.1982) «Срок действия продлен»
№5 от 01.06.1984 (рег. 09.01.1984) «Срок действия продлен»
№6 от 01.03.1985 (рег. 11.09.1984) «Срок действия продлен»
№7 от 01.02.1986 (рег. 20.08.1985) «Срок действия продлен»
№8 от 01.07.1989 (рег. 28.12.1988) «Срок действия продлен»
№9 от 01.01.1991 (рег. 26.06.1990) «Срок действия продлен»
ГОСТ 3945-78ГОСТ 3945-78ГОСТ 3945-78ГОСТ 3945-78ГОСТ 3945-78ГОСТ 3945-78ГОСТ 3945-78ГОСТ 3945-78
 




ГОСТЫ, СТРОИТЕЛЬНЫЕ и ТЕХНИЧЕСКИЕ НОРМАТИВЫ.
Некоммерческая онлайн система, содержащая все Российские Госты, национальные Стандарты и нормативы.
В Системе содержится более 150000 файлов нормативно-технической документации, действующей на территории РФ.
Система предназначена для широкого круга инженерно-технических специалистов.

Рейтинг@Mail.ru Яндекс цитирования

Copyright © www.gostrf.com, 2008 - 2026