Крупнейшая бесплатная информационно-справочная система онлайн доступа к полному собранию технических нормативно-правовых актов РФ. Огромная база технических нормативов (более 150 тысяч документов) и полное собрание национальных стандартов, аутентичное официальной базе Госстандарта. GOSTRF.com - это более 1 Терабайта бесплатной технической информации для всех пользователей интернета. Все электронные копии представленных здесь документов могут распространяться без каких-либо ограничений. Поощряется распространение информации с этого сайта на любых других ресурсах. Каждый человек имеет право на неограниченный доступ к этим документам! Каждый человек имеет право на знание требований, изложенных в данных нормативно-правовых актах!

  


 

ГОСТ Р 51317.6.5-2006

Совместимость технических средств электромагнитная. Устойчивость к электромагнитным помехам технических средств, применяемых на электростанциях и подстанциях. Требования и методы испытаний

Обозначение:ГОСТ Р 51317.6.5-2006
Текущий статус документа: действующий
Название документа рус.:Совместимость технических средств электромагнитная. Устойчивость к электромагнитным помехам технических средств, применяемых на электростанциях и подстанциях. Требования и методы испытаний
Название документа англ.:Electromagnetic compatibility of technical equipment. Immunity of technical equipment intended for use in power stations and substations. Requirements and test methods
Дата актуализации текста:01.12.2013
Дата издания:16.04.2007
Дата введения:30.06.2007
Дата последнего изменения:22.05.2013
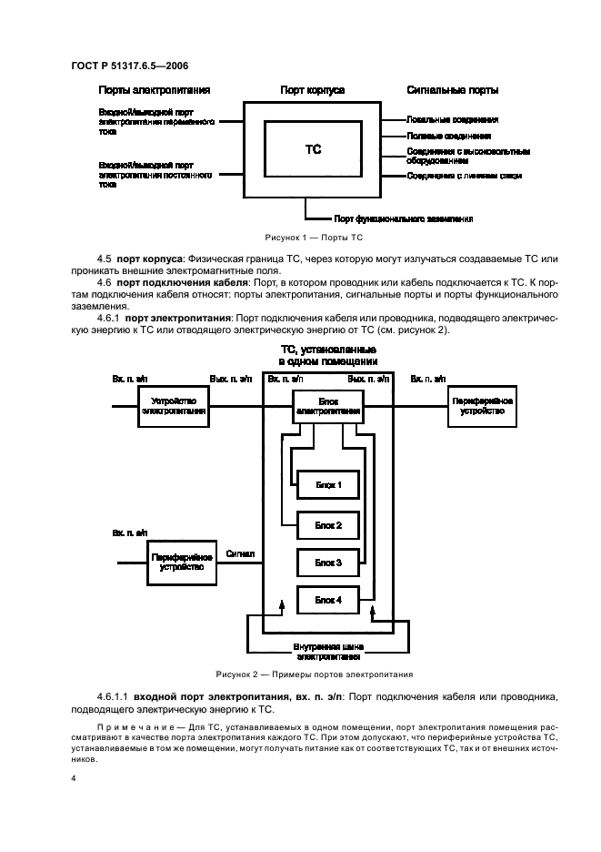
Область применения:Настоящий стандарт устанавливает требования электромагнитной совместимости в части устойчивости к электромагнитным помехам к электротехническим и электронным изделиям и аппаратуре, предназначенным для применения организациями - поставщиками электрической энергии при производстве, передаче и распределении электрической энергии и в связанных с этими процессами телекоммуникационных системах.
Требования помехоустойчивости установлены для технических средств, применяемых на электростанциях и электрических подстанциях. Область применения стандарта охватывает полосу частот от 0 до 400 ГГц.
Настоящий стандарт не распространяется на неэлектронное высоковольтное и силовое оборудование (первичные системы)
ГОСТ Р 51317.6.5-2006ГОСТ Р 51317.6.5-2006ГОСТ Р 51317.6.5-2006ГОСТ Р 51317.6.5-2006ГОСТ Р 51317.6.5-2006ГОСТ Р 51317.6.5-2006ГОСТ Р 51317.6.5-2006ГОСТ Р 51317.6.5-2006ГОСТ Р 51317.6.5-2006ГОСТ Р 51317.6.5-2006ГОСТ Р 51317.6.5-2006ГОСТ Р 51317.6.5-2006ГОСТ Р 51317.6.5-2006ГОСТ Р 51317.6.5-2006ГОСТ Р 51317.6.5-2006ГОСТ Р 51317.6.5-2006ГОСТ Р 51317.6.5-2006ГОСТ Р 51317.6.5-2006ГОСТ Р 51317.6.5-2006ГОСТ Р 51317.6.5-2006ГОСТ Р 51317.6.5-2006ГОСТ Р 51317.6.5-2006ГОСТ Р 51317.6.5-2006ГОСТ Р 51317.6.5-2006ГОСТ Р 51317.6.5-2006ГОСТ Р 51317.6.5-2006ГОСТ Р 51317.6.5-2006ГОСТ Р 51317.6.5-2006ГОСТ Р 51317.6.5-2006ГОСТ Р 51317.6.5-2006ГОСТ Р 51317.6.5-2006
 




ГОСТЫ, СТРОИТЕЛЬНЫЕ и ТЕХНИЧЕСКИЕ НОРМАТИВЫ.
Некоммерческая онлайн система, содержащая все Российские Госты, национальные Стандарты и нормативы.
В Системе содержится более 150000 файлов нормативно-технической документации, действующей на территории РФ.
Система предназначена для широкого круга инженерно-технических специалистов.

Рейтинг@Mail.ru Яндекс цитирования

Copyright © www.gostrf.com, 2008 - 2026