Крупнейшая бесплатная информационно-справочная система онлайн доступа к полному собранию технических нормативно-правовых актов РФ. Огромная база технических нормативов (более 150 тысяч документов) и полное собрание национальных стандартов, аутентичное официальной базе Госстандарта. GOSTRF.com - это более 1 Терабайта бесплатной технической информации для всех пользователей интернета. Все электронные копии представленных здесь документов могут распространяться без каких-либо ограничений. Поощряется распространение информации с этого сайта на любых других ресурсах. Каждый человек имеет право на неограниченный доступ к этим документам! Каждый человек имеет право на знание требований, изложенных в данных нормативно-правовых актах!

  


 

ГОСТ 8.586.1-2005

Государственная система обеспечения единства измерений. Измерение расхода и количества жидкостей и газов с помощью стандартных сужающих устройств. Часть 1. Принцип метода измерений и общие требования

Обозначение:ГОСТ 8.586.1-2005
Текущий статус документа: действующий
Название документа рус.:Государственная система обеспечения единства измерений. Измерение расхода и количества жидкостей и газов с помощью стандартных сужающих устройств. Часть 1. Принцип метода измерений и общие требования
Название документа англ.:State system for ensuring the uniformity of measurements. Measurements of liquids and gases flow rate and quantity by means of orifice instruments. Part 1. Principle of the method of measurements and general requirements
Дата актуализации текста:01.12.2013
Дата издания:10.01.2007
Дата введения:01.01.2007
Дата последнего изменения:22.05.2013
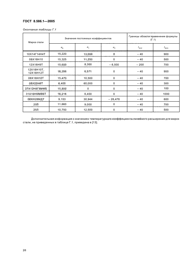
Область применения:В настоящем стандарте даны определения необходимых терминов и условные обозначения, изложен принцип метода измерений с помощью стандартных сужающих устройств и расчета расхода и количества жидкостей и газов, протекающих в полностью заполненных трубопроводах круглого сечения.
Стандарт устанавливает общие требования к сужающим устройствам и их установке, измерительным трубопроводам, условиям проведения измерений расхода и количества жидкостей и газов.
Стандарт распространяется на сужающие устройства, для которых были проведены экспериментальные исследования, число и качество которых обеспечивает их применение с прогнозируемой неопределенностью их характеристик без индивидуальной градуировки
Список изменений:№0 от 01.06.2007 (рег. 01.06.2007) «Дата введения перенесена»
Приложение №1:Поправка к ГОСТ 8.586.1-2005
ГОСТ 8.586.1-2005ГОСТ 8.586.1-2005ГОСТ 8.586.1-2005ГОСТ 8.586.1-2005ГОСТ 8.586.1-2005ГОСТ 8.586.1-2005ГОСТ 8.586.1-2005ГОСТ 8.586.1-2005ГОСТ 8.586.1-2005ГОСТ 8.586.1-2005ГОСТ 8.586.1-2005ГОСТ 8.586.1-2005ГОСТ 8.586.1-2005ГОСТ 8.586.1-2005ГОСТ 8.586.1-2005ГОСТ 8.586.1-2005ГОСТ 8.586.1-2005ГОСТ 8.586.1-2005ГОСТ 8.586.1-2005ГОСТ 8.586.1-2005ГОСТ 8.586.1-2005ГОСТ 8.586.1-2005ГОСТ 8.586.1-2005ГОСТ 8.586.1-2005ГОСТ 8.586.1-2005ГОСТ 8.586.1-2005ГОСТ 8.586.1-2005ГОСТ 8.586.1-2005ГОСТ 8.586.1-2005ГОСТ 8.586.1-2005ГОСТ 8.586.1-2005ГОСТ 8.586.1-2005ГОСТ 8.586.1-2005ГОСТ 8.586.1-2005ГОСТ 8.586.1-2005ГОСТ 8.586.1-2005ГОСТ 8.586.1-2005ГОСТ 8.586.1-2005ГОСТ 8.586.1-2005ГОСТ 8.586.1-2005ГОСТ 8.586.1-2005ГОСТ 8.586.1-2005ГОСТ 8.586.1-2005ГОСТ 8.586.1-2005ГОСТ 8.586.1-2005ГОСТ 8.586.1-2005ГОСТ 8.586.1-2005ГОСТ 8.586.1-2005ГОСТ 8.586.1-2005

Поправка к ГОСТ 8.586.1-2005

Обозначение:Поправка к ГОСТ 8.586.1-2005
Дата введения:01.06.2007


Поправка к ГОСТ 8.586.1-2005
 




ГОСТЫ, СТРОИТЕЛЬНЫЕ и ТЕХНИЧЕСКИЕ НОРМАТИВЫ.
Некоммерческая онлайн система, содержащая все Российские Госты, национальные Стандарты и нормативы.
В Системе содержится более 150000 файлов нормативно-технической документации, действующей на территории РФ.
Система предназначена для широкого круга инженерно-технических специалистов.

Рейтинг@Mail.ru Яндекс цитирования

Copyright © www.gostrf.com, 2008 - 2026