Крупнейшая бесплатная информационно-справочная система онлайн доступа к полному собранию технических нормативно-правовых актов РФ. Огромная база технических нормативов (более 150 тысяч документов) и полное собрание национальных стандартов, аутентичное официальной базе Госстандарта. GOSTRF.com - это более 1 Терабайта бесплатной технической информации для всех пользователей интернета. Все электронные копии представленных здесь документов могут распространяться без каких-либо ограничений. Поощряется распространение информации с этого сайта на любых других ресурсах. Каждый человек имеет право на неограниченный доступ к этим документам! Каждый человек имеет право на знание требований, изложенных в данных нормативно-правовых актах!

  


 

ГОСТ 3897-87

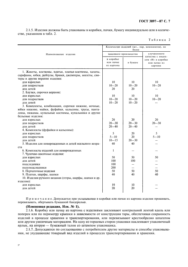
Изделия трикотажные. Маркировка, упаковка, транспортирование и хранение

Обозначение:ГОСТ 3897-87
Текущий статус документа: действующий
Название документа рус.:Изделия трикотажные. Маркировка, упаковка, транспортирование и хранение
Название документа англ.:Knitted garments. Marking, packing, transportation and storage
Дата актуализации текста:01.12.2013
Дата издания:01.01.2008
Дата введения:30.06.1989
Дата последнего изменения:16.10.2013
Переиздание:переиздание с поправкой и изм. 1
Взамен в части: в части трикотажных изделий
Область применения:Настоящий стандарт распространяется на все виды готовых трикотажных изделий.
Стандарт не распространяется на изделия для военнослужащих Вооруженных Сил СССР, сотрудников органов МВД СССР и КГБ СССР, а также изделия, изготовляемые по лицензиям, для экспорта и по международным кооперированным поставкам
Список изменений:№0 от 03.05.2006 (рег. 03.05.2006) «Дата введения перенесена»
№0 от 08.05.2013 (рег. 08.05.2013) «Дата введения перенесена»
№1 от 01.01.1990 (рег. 05.05.1989) «Срок действия продлен»
№2 от 01.11.1991 (рег. 26.04.1991) «Срок действия продлен»
Приложение №1:Поправка к ГОСТ 3897-87
Приложение №2:Поправка к ГОСТ 3897-87
ГОСТ 3897-87ГОСТ 3897-87ГОСТ 3897-87ГОСТ 3897-87ГОСТ 3897-87ГОСТ 3897-87ГОСТ 3897-87ГОСТ 3897-87ГОСТ 3897-87ГОСТ 3897-87ГОСТ 3897-87ГОСТ 3897-87ГОСТ 3897-87ГОСТ 3897-87ГОСТ 3897-87ГОСТ 3897-87ГОСТ 3897-87ГОСТ 3897-87ГОСТ 3897-87

Поправка к ГОСТ 3897-87

Обозначение:Поправка к ГОСТ 3897-87
Дата введения:03.05.2006


Поправка к ГОСТ 3897-87

Поправка к ГОСТ 3897-87

Обозначение:Поправка к ГОСТ 3897-87
Дата введения:08.05.2013


Поправка к ГОСТ 3897-87
 




ГОСТЫ, СТРОИТЕЛЬНЫЕ и ТЕХНИЧЕСКИЕ НОРМАТИВЫ.
Некоммерческая онлайн система, содержащая все Российские Госты, национальные Стандарты и нормативы.
В Системе содержится более 150000 файлов нормативно-технической документации, действующей на территории РФ.
Система предназначена для широкого круга инженерно-технических специалистов.

Рейтинг@Mail.ru Яндекс цитирования

Copyright © www.gostrf.com, 2008 - 2026