Крупнейшая бесплатная информационно-справочная система онлайн доступа к полному собранию технических нормативно-правовых актов РФ. Огромная база технических нормативов (более 150 тысяч документов) и полное собрание национальных стандартов, аутентичное официальной базе Госстандарта. GOSTRF.com - это более 1 Терабайта бесплатной технической информации для всех пользователей интернета. Все электронные копии представленных здесь документов могут распространяться без каких-либо ограничений. Поощряется распространение информации с этого сайта на любых других ресурсах. Каждый человек имеет право на неограниченный доступ к этим документам! Каждый человек имеет право на знание требований, изложенных в данных нормативно-правовых актах!

  


 

ГОСТ 30732-2006

Трубы и фасонные изделия стальные с тепловой изоляцией из пенополиуретана с защитной оболочкой. Технические условия

Обозначение:ГОСТ 30732-2006
Текущий статус документа: действующий
Название документа рус.:Трубы и фасонные изделия стальные с тепловой изоляцией из пенополиуретана с защитной оболочкой. Технические условия
Название документа англ.:Steel pipes and shaped products with foamed polyurethane thermal insulation in protective sheath. Specifications
Дата актуализации текста:01.12.2013
Дата издания:01.05.2008
Дата введения:01.01.2008
Дата последнего изменения:22.05.2013
Переиздание:переиздание
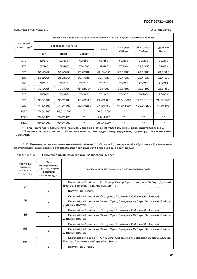
Область применения:Настоящий стандарт распространяется на стальные и фасонные изделия с тепловой изоляцией из пенополиуретана в полиэтиленовой оболочке или стальным защитным покрытием, предназначенные для подземной прокладки тепловых сетей (в полиэтиленовой оболочке - бесканальным способом, со стальной защитной оболочкой - в проходных каналах и туннелях) и надземной прокладки тепловых сетей (для труб со стальным защитным покрытием) со следующими расчетными параметрами теплоносителя: рабочим давлением не более 1,6 МПа и температурой не более 140 град. С (допускается повышение температуры не более 150 град. С в пределах графика качественного регулирования отпуска тепла 150 град. С - 70 град. С).
По согласованию с проектной организацией допускается применение изолированных труб в полиэтиленовой оболочке в непроходных каналах.
Допускается также примение изолированных труб для трубопроводов, транспортирующих другие вещества (нефть, газ и пр.)
ГОСТ 30732-2006ГОСТ 30732-2006ГОСТ 30732-2006ГОСТ 30732-2006ГОСТ 30732-2006ГОСТ 30732-2006ГОСТ 30732-2006ГОСТ 30732-2006ГОСТ 30732-2006ГОСТ 30732-2006ГОСТ 30732-2006ГОСТ 30732-2006ГОСТ 30732-2006ГОСТ 30732-2006ГОСТ 30732-2006ГОСТ 30732-2006ГОСТ 30732-2006ГОСТ 30732-2006ГОСТ 30732-2006ГОСТ 30732-2006ГОСТ 30732-2006ГОСТ 30732-2006ГОСТ 30732-2006ГОСТ 30732-2006ГОСТ 30732-2006ГОСТ 30732-2006ГОСТ 30732-2006ГОСТ 30732-2006ГОСТ 30732-2006ГОСТ 30732-2006ГОСТ 30732-2006ГОСТ 30732-2006ГОСТ 30732-2006ГОСТ 30732-2006ГОСТ 30732-2006ГОСТ 30732-2006ГОСТ 30732-2006ГОСТ 30732-2006ГОСТ 30732-2006ГОСТ 30732-2006ГОСТ 30732-2006ГОСТ 30732-2006ГОСТ 30732-2006ГОСТ 30732-2006ГОСТ 30732-2006ГОСТ 30732-2006ГОСТ 30732-2006ГОСТ 30732-2006
 




ГОСТЫ, СТРОИТЕЛЬНЫЕ и ТЕХНИЧЕСКИЕ НОРМАТИВЫ.
Некоммерческая онлайн система, содержащая все Российские Госты, национальные Стандарты и нормативы.
В Системе содержится более 150000 файлов нормативно-технической документации, действующей на территории РФ.
Система предназначена для широкого круга инженерно-технических специалистов.

Рейтинг@Mail.ru Яндекс цитирования

Copyright © www.gostrf.com, 2008 - 2026