Крупнейшая бесплатная информационно-справочная система онлайн доступа к полному собранию технических нормативно-правовых актов РФ. Огромная база технических нормативов (более 150 тысяч документов) и полное собрание национальных стандартов, аутентичное официальной базе Госстандарта. GOSTRF.com - это более 1 Терабайта бесплатной технической информации для всех пользователей интернета. Все электронные копии представленных здесь документов могут распространяться без каких-либо ограничений. Поощряется распространение информации с этого сайта на любых других ресурсах. Каждый человек имеет право на неограниченный доступ к этим документам! Каждый человек имеет право на знание требований, изложенных в данных нормативно-правовых актах!

  


 

ГОСТ 1759.4-87

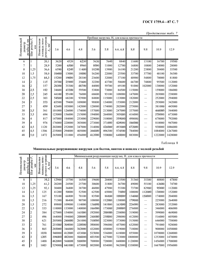
Болты, винты и шпильки. Механические свойства и методы испытаний

Обозначение:ГОСТ 1759.4-87
Текущий статус документа: утратил силу в РФ
Название документа рус.:Болты, винты и шпильки. Механические свойства и методы испытаний
Название документа англ.:Bolts, screws and studs. Mechanical properties and test methods
Дата актуализации текста:01.12.2013
Дата издания:01.08.2006
Дата введения:01.01.1989
Дата последнего изменения:22.05.2013
Дата окончания срока действия:01.01.2008
Переиздание:переиздание с изм. 1
Взамен в части: в части механических свойств и методов испытаний болтов, винтов и шпилек
Область применения:Настоящий стандарт распространяется на болты, винты, и шпильки из углеродистых нелегированных или легированных сталей с метрической резьбой - по ГОСТ 24705 диаметром от 1 до 48 мм.
Стандарт не распространяется на установочные винты и аналогичные им резьбовые крепежные изделия, а также на болты, винты и шпильки, к которым предъявляются специальные требования, такие как свариваемость, коррозионная стойкость, работоспособность при температурах выше плюс 300 град. С (для автоматной стали - плюс 250 град. С) и ниже минус 50 град. С
Список изменений:№0 от 01.01.2008 (рег. 27.12.2006) «Поправка к изменению»
№1 от 01.07.1990 (рег. 15.11.1989) «Срок действия продлен»
ГОСТ 1759.4-87ГОСТ 1759.4-87ГОСТ 1759.4-87ГОСТ 1759.4-87ГОСТ 1759.4-87ГОСТ 1759.4-87ГОСТ 1759.4-87ГОСТ 1759.4-87ГОСТ 1759.4-87ГОСТ 1759.4-87ГОСТ 1759.4-87ГОСТ 1759.4-87ГОСТ 1759.4-87ГОСТ 1759.4-87ГОСТ 1759.4-87ГОСТ 1759.4-87ГОСТ 1759.4-87
 




ГОСТЫ, СТРОИТЕЛЬНЫЕ и ТЕХНИЧЕСКИЕ НОРМАТИВЫ.
Некоммерческая онлайн система, содержащая все Российские Госты, национальные Стандарты и нормативы.
В Системе содержится более 150000 файлов нормативно-технической документации, действующей на территории РФ.
Система предназначена для широкого круга инженерно-технических специалистов.

Рейтинг@Mail.ru Яндекс цитирования

Copyright © www.gostrf.com, 2008 - 2026