Крупнейшая бесплатная информационно-справочная система онлайн доступа к полному собранию технических нормативно-правовых актов РФ. Огромная база технических нормативов (более 150 тысяч документов) и полное собрание национальных стандартов, аутентичное официальной базе Госстандарта. GOSTRF.com - это более 1 Терабайта бесплатной технической информации для всех пользователей интернета. Все электронные копии представленных здесь документов могут распространяться без каких-либо ограничений. Поощряется распространение информации с этого сайта на любых других ресурсах. Каждый человек имеет право на неограниченный доступ к этим документам! Каждый человек имеет право на знание требований, изложенных в данных нормативно-правовых актах!

  


 

ГОСТ Р 52535.1-2006

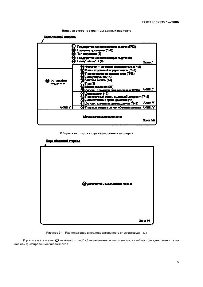
Карты идентификационные. Машиносчитываемые дорожные документы. Часть 1. Машиносчитываемые паспорта

Обозначение:ГОСТ Р 52535.1-2006
Текущий статус документа: действующий
Название документа рус.:Карты идентификационные. Машиносчитываемые дорожные документы. Часть 1. Машиносчитываемые паспорта
Название документа англ.:Identification cards. Machine readable travel documents. Part 1. Machine readable passports
Дата актуализации текста:01.12.2013
Дата издания:20.07.2006
Дата введения:01.01.2007
Дата последнего изменения:22.05.2013
Область применения:Настоящий стандарт распространяется на машиносчитываемые заграничные паспорта граждан Российской Федерации и устанавливает общие требования к заграничному паспорту гражданина Российской Федерации.
Требования настоящего стандарта соответствуют требованиям и рекомендациям Международной организации гражданской авиации (ИКАО) Doc 9303, часть 1, принятого в качестве международного стандарта, обеспечивающим идентификацию личности владельца паспорта при пересечении им границы любого государства, располагающего соответствующими средствами визуального контроля и автоматизированными унифицированными системами для машинного считывания данных с паспорта в соответствии с указанным международным стандартом
ГОСТ Р 52535.1-2006ГОСТ Р 52535.1-2006ГОСТ Р 52535.1-2006ГОСТ Р 52535.1-2006ГОСТ Р 52535.1-2006ГОСТ Р 52535.1-2006ГОСТ Р 52535.1-2006ГОСТ Р 52535.1-2006ГОСТ Р 52535.1-2006ГОСТ Р 52535.1-2006ГОСТ Р 52535.1-2006ГОСТ Р 52535.1-2006ГОСТ Р 52535.1-2006ГОСТ Р 52535.1-2006ГОСТ Р 52535.1-2006ГОСТ Р 52535.1-2006ГОСТ Р 52535.1-2006ГОСТ Р 52535.1-2006
 




ГОСТЫ, СТРОИТЕЛЬНЫЕ и ТЕХНИЧЕСКИЕ НОРМАТИВЫ.
Некоммерческая онлайн система, содержащая все Российские Госты, национальные Стандарты и нормативы.
В Системе содержится более 150000 файлов нормативно-технической документации, действующей на территории РФ.
Система предназначена для широкого круга инженерно-технических специалистов.

Рейтинг@Mail.ru Яндекс цитирования

Copyright © www.gostrf.com, 2008 - 2026