Крупнейшая бесплатная информационно-справочная система онлайн доступа к полному собранию технических нормативно-правовых актов РФ. Огромная база технических нормативов (более 150 тысяч документов) и полное собрание национальных стандартов, аутентичное официальной базе Госстандарта. GOSTRF.com - это более 1 Терабайта бесплатной технической информации для всех пользователей интернета. Все электронные копии представленных здесь документов могут распространяться без каких-либо ограничений. Поощряется распространение информации с этого сайта на любых других ресурсах. Каждый человек имеет право на неограниченный доступ к этим документам! Каждый человек имеет право на знание требований, изложенных в данных нормативно-правовых актах!

  


 

ГОСТ Р 50257-92

Комбикорма полнорационные для свиней. Общие технические условия

Обозначение:ГОСТ Р 50257-92
Текущий статус документа: действующий
Название документа рус.:Комбикорма полнорационные для свиней. Общие технические условия
Название документа англ.:Complete mixed feed for pigs. General specifications
Дата актуализации текста:01.12.2013
Дата издания:01.02.2002
Дата введения:01.01.1994
Дата последнего изменения:22.05.2013
Переиздание:переиздание
Взамен:ОСТ 8-20-77
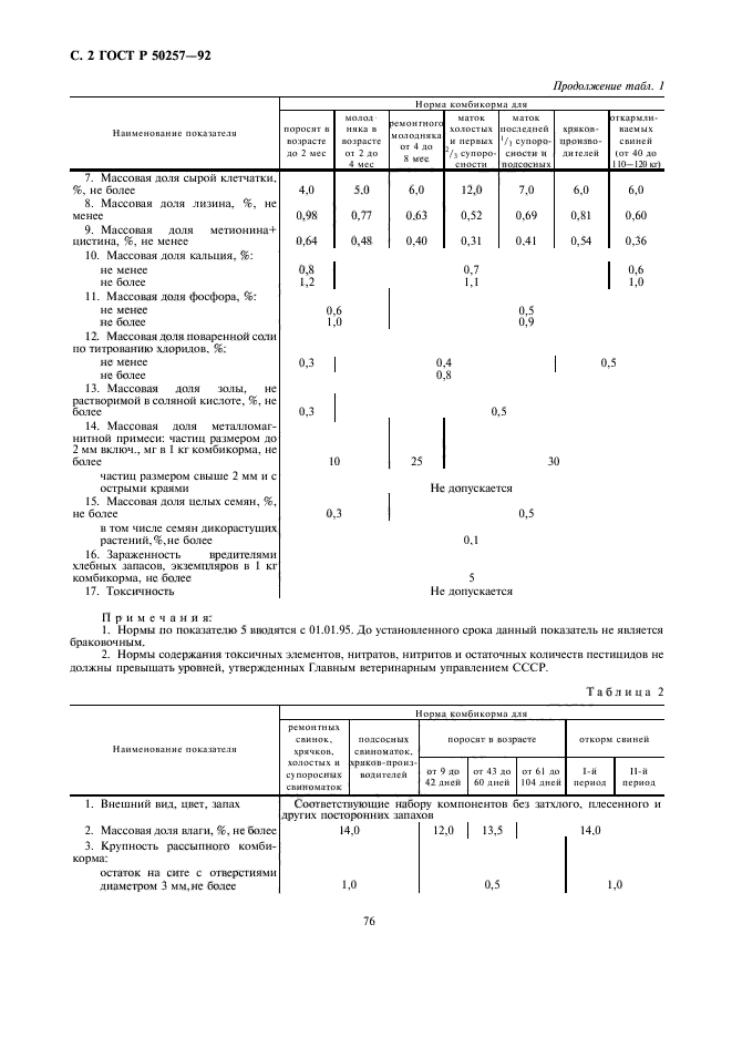
Область применения:Настоящий стандарт распространяется на полнорационные комбикорма для хряков-производителей, холостых, супоросных и подсосных маток, поросят до 2- и от 2- до 4-месячного возраста, ремонтного молодняка и откармливаемых свиней, выращиваемых в хозяйствах, а также для свиней, выращиваемых и откармливаемых в промышленных животноводческих комплексах.
В стандарте изложены требования к безопасности продукции для жизни и здоровья животных
ГОСТ Р 50257-92ГОСТ Р 50257-92ГОСТ Р 50257-92ГОСТ Р 50257-92ГОСТ Р 50257-92ГОСТ Р 50257-92
 




ГОСТЫ, СТРОИТЕЛЬНЫЕ и ТЕХНИЧЕСКИЕ НОРМАТИВЫ.
Некоммерческая онлайн система, содержащая все Российские Госты, национальные Стандарты и нормативы.
В Системе содержится более 150000 файлов нормативно-технической документации, действующей на территории РФ.
Система предназначена для широкого круга инженерно-технических специалистов.

Рейтинг@Mail.ru Яндекс цитирования

Copyright © www.gostrf.com, 2008 - 2026