Крупнейшая бесплатная информационно-справочная система онлайн доступа к полному собранию технических нормативно-правовых актов РФ. Огромная база технических нормативов (более 150 тысяч документов) и полное собрание национальных стандартов, аутентичное официальной базе Госстандарта. GOSTRF.com - это более 1 Терабайта бесплатной технической информации для всех пользователей интернета. Все электронные копии представленных здесь документов могут распространяться без каких-либо ограничений. Поощряется распространение информации с этого сайта на любых других ресурсах. Каждый человек имеет право на неограниченный доступ к этим документам! Каждый человек имеет право на знание требований, изложенных в данных нормативно-правовых актах!

  


 

ГОСТ 17.2.4.08-90

Охрана природы. Атмосфера. Методы определения влажности газопылевых потоков, отходящих от стационарных источников загрязнения

Обозначение:ГОСТ 17.2.4.08-90
Текущий статус документа: действующий
Название документа рус.:Охрана природы. Атмосфера. Методы определения влажности газопылевых потоков, отходящих от стационарных источников загрязнения
Название документа англ.:Environment protection. Atmosphere. Methods of determination of humidity of gas-and-dust streams from stationary sources of pollution
Дата актуализации текста:01.12.2013
Дата издания:01.08.2003
Дата введения:30.06.1991
Дата последнего изменения:22.05.2013
Переиздание:переиздание
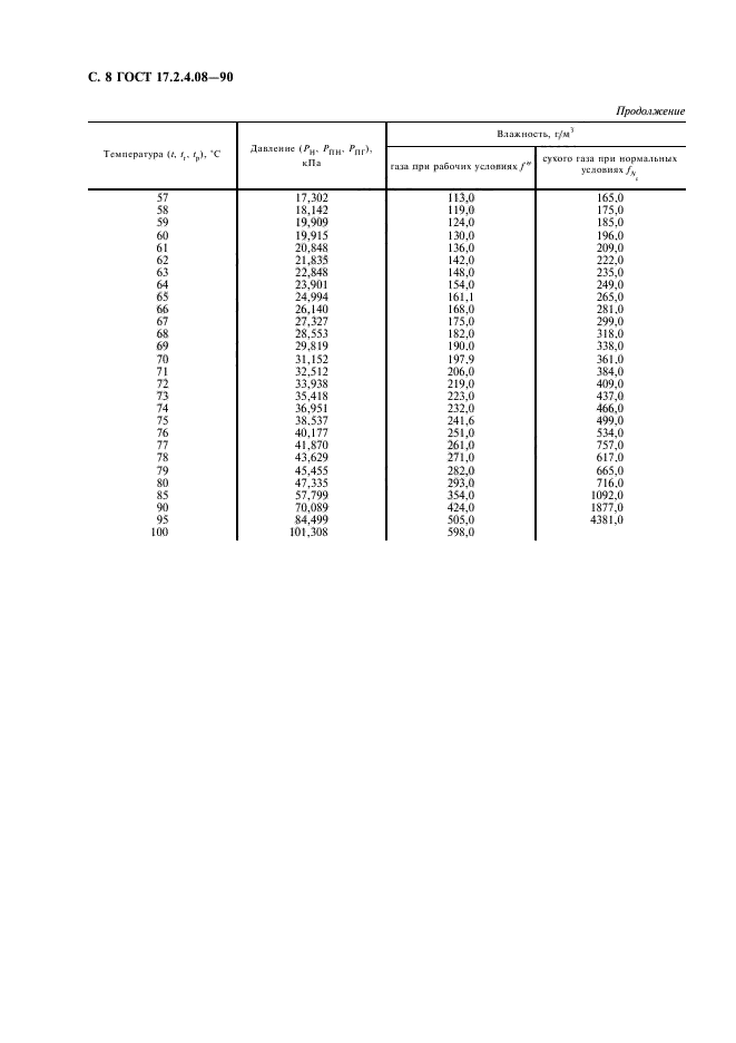
Область применения:Настоящий стандарт устанавливает два метода определения влажности газопылевых потоков, отходящих от стационарных источников загрязнения и не насыщенных водяными парами: психрометрический - при температуре точки росы не выше 60 град. С при этом парциальное давление водяных паров пропорционально разности показаний сухого и влажного термометров, последовательно обтекаемых струей газа; конденсационный - при температуре точки росы выше 60 град. С. Метод основан на измерении количества влаги в пробе газа известного объема, отбираемой из газохода и охлажденной ниже точки росы.
Стандарт не распространяется на определение влажности газов, содержащих вещества, влияющие на температуру точки росы
ГОСТ 17.2.4.08-90ГОСТ 17.2.4.08-90ГОСТ 17.2.4.08-90ГОСТ 17.2.4.08-90ГОСТ 17.2.4.08-90ГОСТ 17.2.4.08-90ГОСТ 17.2.4.08-90ГОСТ 17.2.4.08-90ГОСТ 17.2.4.08-90ГОСТ 17.2.4.08-90ГОСТ 17.2.4.08-90
 




ГОСТЫ, СТРОИТЕЛЬНЫЕ и ТЕХНИЧЕСКИЕ НОРМАТИВЫ.
Некоммерческая онлайн система, содержащая все Российские Госты, национальные Стандарты и нормативы.
В Системе содержится более 150000 файлов нормативно-технической документации, действующей на территории РФ.
Система предназначена для широкого круга инженерно-технических специалистов.

Рейтинг@Mail.ru Яндекс цитирования

Copyright © www.gostrf.com, 2008 - 2026