Крупнейшая бесплатная информационно-справочная система онлайн доступа к полному собранию технических нормативно-правовых актов РФ. Огромная база технических нормативов (более 150 тысяч документов) и полное собрание национальных стандартов, аутентичное официальной базе Госстандарта. GOSTRF.com - это более 1 Терабайта бесплатной технической информации для всех пользователей интернета. Все электронные копии представленных здесь документов могут распространяться без каких-либо ограничений. Поощряется распространение информации с этого сайта на любых других ресурсах. Каждый человек имеет право на неограниченный доступ к этим документам! Каждый человек имеет право на знание требований, изложенных в данных нормативно-правовых актах!

  


 

ГОСТ 14693-90

Устройства комплектные распределительные негерметизированные в металлической оболочке на напряжение до 10 кВ. Общие технические условия

Обозначение:ГОСТ 14693-90
Текущий статус документа: действующий
Название документа рус.:Устройства комплектные распределительные негерметизированные в металлической оболочке на напряжение до 10 кВ. Общие технические условия
Название документа англ.:Unsealed metal-enclosed switchgear and controlgear for voltages up to 10 kV. General specifications
Дата актуализации текста:01.12.2013
Дата издания:01.10.2003
Дата введения:30.06.1991
Дата последнего изменения:22.05.2013
Переиздание:переиздание
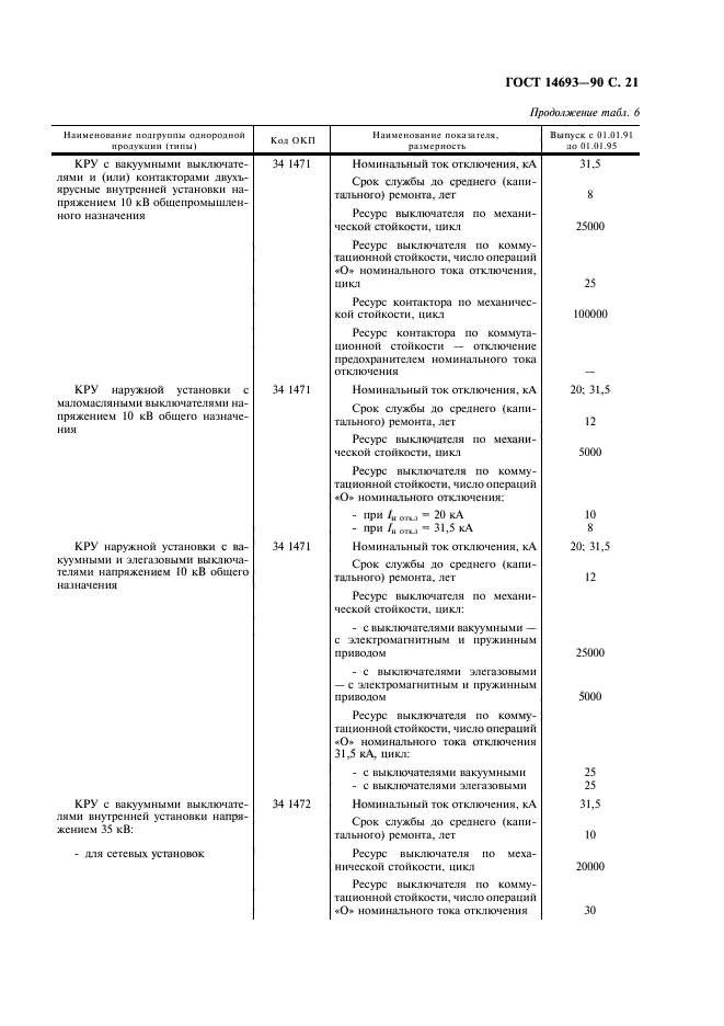
Область применения:Настоящий стандарт распространяется на комплектные распределительные негерметизированные устройства (КРУ) в металлической оболочке, трехфазного переменного тока частотой 50 и 60 Гц на номинальное напряжение до 10 кВ для сетей с изолированной или заземленной через дугогасительный реактор нейтралью и устанавливает требования к КРУ, изготавливаемым для нужд народного хозяйства и экспорта.
Стандарт не распространяется на КРУ:
предназначенные для работы в пожаро- и взрывоопасных зонах;
подвергающиеся действию газов, паров и химических отложений, вредных для изоляции;
специальные (например, предназначенные для работы в сейсмоопасных зонах, на объектах атомной энергетики, а также в электротермических и передвижных установках, судовых распределительных устройствах, на экскаваторах);
на сборные камеры одностороннего обслуживания;
герметизированные с элегазовой изоляцией
ГОСТ 14693-90ГОСТ 14693-90ГОСТ 14693-90ГОСТ 14693-90ГОСТ 14693-90ГОСТ 14693-90ГОСТ 14693-90ГОСТ 14693-90ГОСТ 14693-90ГОСТ 14693-90ГОСТ 14693-90ГОСТ 14693-90ГОСТ 14693-90ГОСТ 14693-90ГОСТ 14693-90ГОСТ 14693-90ГОСТ 14693-90ГОСТ 14693-90ГОСТ 14693-90ГОСТ 14693-90ГОСТ 14693-90ГОСТ 14693-90ГОСТ 14693-90ГОСТ 14693-90ГОСТ 14693-90ГОСТ 14693-90ГОСТ 14693-90
 




ГОСТЫ, СТРОИТЕЛЬНЫЕ и ТЕХНИЧЕСКИЕ НОРМАТИВЫ.
Некоммерческая онлайн система, содержащая все Российские Госты, национальные Стандарты и нормативы.
В Системе содержится более 150000 файлов нормативно-технической документации, действующей на территории РФ.
Система предназначена для широкого круга инженерно-технических специалистов.

Рейтинг@Mail.ru Яндекс цитирования

Copyright © www.gostrf.com, 2008 - 2026