Крупнейшая бесплатная информационно-справочная система онлайн доступа к полному собранию технических нормативно-правовых актов РФ. Огромная база технических нормативов (более 150 тысяч документов) и полное собрание национальных стандартов, аутентичное официальной базе Госстандарта. GOSTRF.com - это более 1 Терабайта бесплатной технической информации для всех пользователей интернета. Все электронные копии представленных здесь документов могут распространяться без каких-либо ограничений. Поощряется распространение информации с этого сайта на любых других ресурсах. Каждый человек имеет право на неограниченный доступ к этим документам! Каждый человек имеет право на знание требований, изложенных в данных нормативно-правовых актах!

  


 

ГОСТ Р 51664-2000

Системы и аппаратура автоматического управления каналами радиосвязи. Основные параметры

Обозначение:ГОСТ Р 51664-2000
Текущий статус документа: действующий
Название документа рус.:Системы и аппаратура автоматического управления каналами радиосвязи. Основные параметры
Название документа англ.:Systems and equipment of radio communication channel automatic control. Main parameters
Дата актуализации текста:01.12.2013
Дата издания:10.01.2001
Дата введения:30.06.2001
Дата последнего изменения:22.05.2013
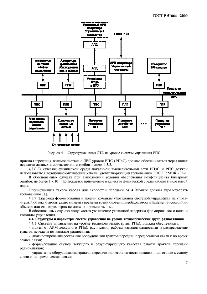
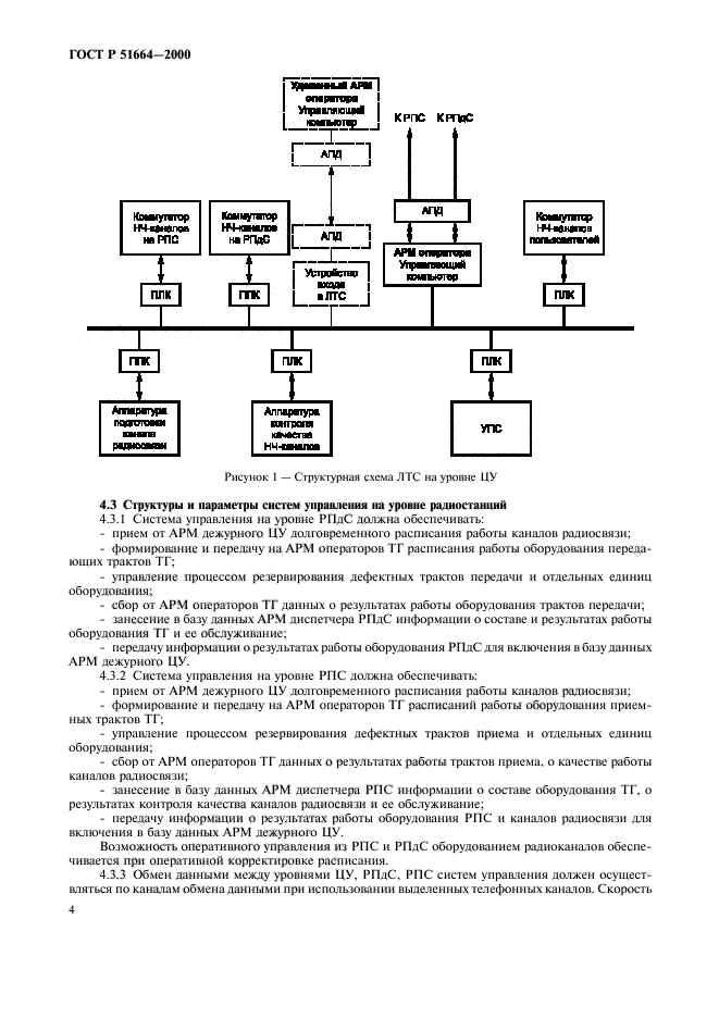
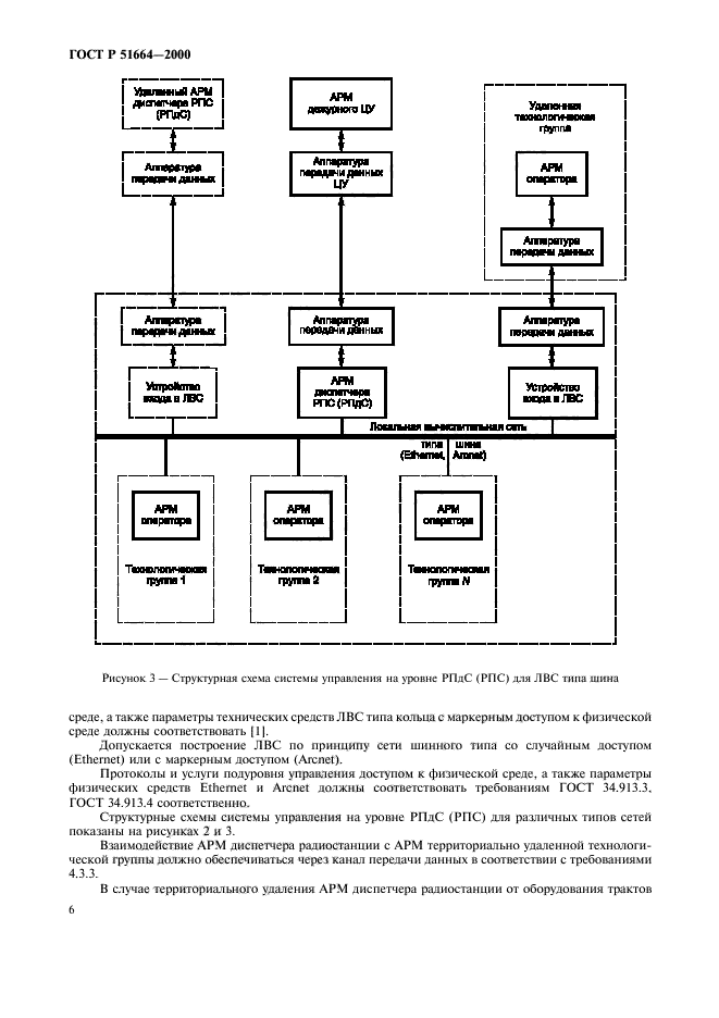
Область применения:Настоящий стандарт распространяется на системы и аппаратуру автоматического управления каналами магистральной радиосвязи гектометрового-декаметрового диапазона волн. Стандарт устанавливает состав, структуру и основные параметры систем автоматического управления каналами радиосвязи
ГОСТ Р 51664-2000ГОСТ Р 51664-2000ГОСТ Р 51664-2000ГОСТ Р 51664-2000ГОСТ Р 51664-2000ГОСТ Р 51664-2000ГОСТ Р 51664-2000ГОСТ Р 51664-2000ГОСТ Р 51664-2000ГОСТ Р 51664-2000ГОСТ Р 51664-2000ГОСТ Р 51664-2000ГОСТ Р 51664-2000ГОСТ Р 51664-2000ГОСТ Р 51664-2000ГОСТ Р 51664-2000ГОСТ Р 51664-2000ГОСТ Р 51664-2000ГОСТ Р 51664-2000
 




ГОСТЫ, СТРОИТЕЛЬНЫЕ и ТЕХНИЧЕСКИЕ НОРМАТИВЫ.
Некоммерческая онлайн система, содержащая все Российские Госты, национальные Стандарты и нормативы.
В Системе содержится более 150000 файлов нормативно-технической документации, действующей на территории РФ.
Система предназначена для широкого круга инженерно-технических специалистов.

Рейтинг@Mail.ru Яндекс цитирования

Copyright © www.gostrf.com, 2008 - 2026