Крупнейшая бесплатная информационно-справочная система онлайн доступа к полному собранию технических нормативно-правовых актов РФ. Огромная база технических нормативов (более 150 тысяч документов) и полное собрание национальных стандартов, аутентичное официальной базе Госстандарта. GOSTRF.com - это более 1 Терабайта бесплатной технической информации для всех пользователей интернета. Все электронные копии представленных здесь документов могут распространяться без каких-либо ограничений. Поощряется распространение информации с этого сайта на любых других ресурсах. Каждый человек имеет право на неограниченный доступ к этим документам! Каждый человек имеет право на знание требований, изложенных в данных нормативно-правовых актах!

  


 

ГОСТ Р ИСО 11137-2000

Стерилизация медицинской продукции. Требования к валидации и текущему контролю. Радиационная стерилизация

Обозначение:ГОСТ Р ИСО 11137-2000
Текущий статус документа: отменён
Название документа рус.:Стерилизация медицинской продукции. Требования к валидации и текущему контролю. Радиационная стерилизация
Название документа англ.:Sterilization of health care products. Requirements for validation and routine control. Radiation sterilization
Дата актуализации текста:01.12.2013
Дата издания:01.06.2002
Дата введения:01.07.2001
Дата последнего изменения:22.05.2013
Дата окончания срока действия:01.01.2010
Переиздание:переиздание
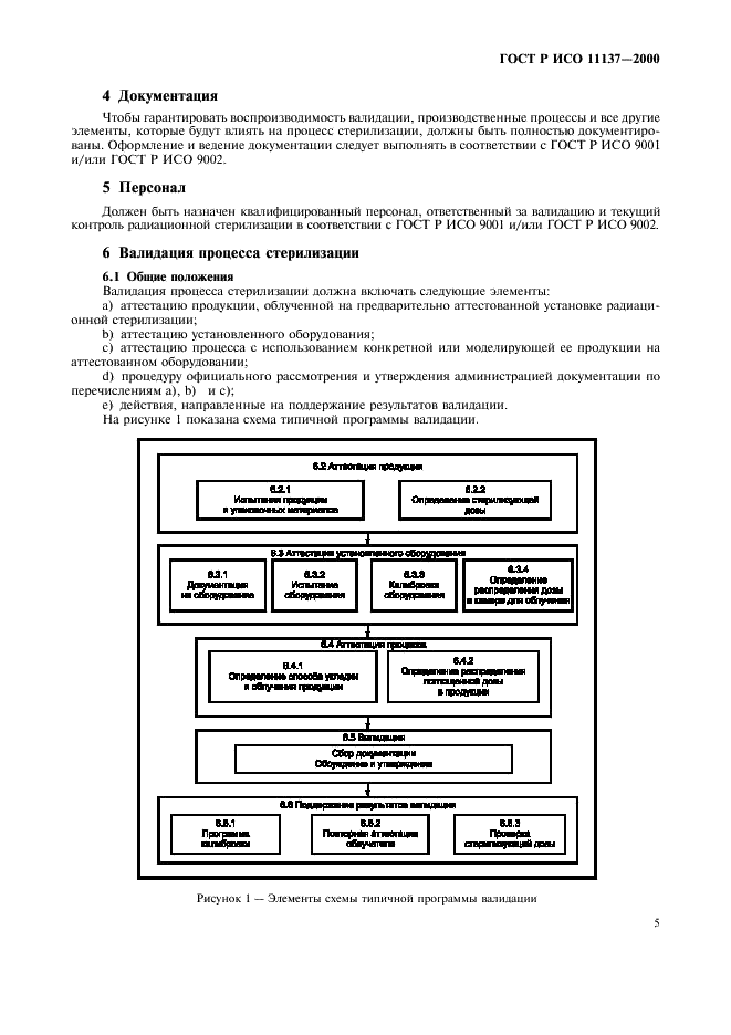
Область применения:Настоящий стандарт устанавливает требования к валидации, управлению и текущему контролю процесса радиационной стерилизации медицинской продукции. Он распространяется на радиационно-технологические установки непрерывного и циклического типа, использующие ионизирующее излучение радионуклидов Со 60 и Cs 137, а также на радиационно-технологические установки с использованием генераторов электронного и тормозного излучения.
В настоящем стандарте не рассматривается проектирование, лицензирование, обучение оператора и факторы, связанные с радиационной безопасностью, а также оценка пригодности продукции для использования по назначению после радиационной стерилизации. Использование биологических индикаторов для валидации или контроля процесса и испытания на стерильность выпускаемой продукции не рассматривается, поскольку эти индикаторы для процесса радиационной стерилизации не рекомендуются
Список изменений:№0 от 01.01.2010 (рег. 25.12.2008) «Текстовое изменение; Изменено заглавие»
ГОСТ Р ИСО 11137-2000ГОСТ Р ИСО 11137-2000ГОСТ Р ИСО 11137-2000ГОСТ Р ИСО 11137-2000ГОСТ Р ИСО 11137-2000ГОСТ Р ИСО 11137-2000ГОСТ Р ИСО 11137-2000ГОСТ Р ИСО 11137-2000ГОСТ Р ИСО 11137-2000ГОСТ Р ИСО 11137-2000ГОСТ Р ИСО 11137-2000ГОСТ Р ИСО 11137-2000ГОСТ Р ИСО 11137-2000ГОСТ Р ИСО 11137-2000ГОСТ Р ИСО 11137-2000ГОСТ Р ИСО 11137-2000ГОСТ Р ИСО 11137-2000ГОСТ Р ИСО 11137-2000ГОСТ Р ИСО 11137-2000ГОСТ Р ИСО 11137-2000ГОСТ Р ИСО 11137-2000ГОСТ Р ИСО 11137-2000ГОСТ Р ИСО 11137-2000ГОСТ Р ИСО 11137-2000ГОСТ Р ИСО 11137-2000ГОСТ Р ИСО 11137-2000ГОСТ Р ИСО 11137-2000ГОСТ Р ИСО 11137-2000ГОСТ Р ИСО 11137-2000ГОСТ Р ИСО 11137-2000ГОСТ Р ИСО 11137-2000ГОСТ Р ИСО 11137-2000ГОСТ Р ИСО 11137-2000ГОСТ Р ИСО 11137-2000ГОСТ Р ИСО 11137-2000ГОСТ Р ИСО 11137-2000ГОСТ Р ИСО 11137-2000ГОСТ Р ИСО 11137-2000ГОСТ Р ИСО 11137-2000ГОСТ Р ИСО 11137-2000ГОСТ Р ИСО 11137-2000ГОСТ Р ИСО 11137-2000ГОСТ Р ИСО 11137-2000ГОСТ Р ИСО 11137-2000ГОСТ Р ИСО 11137-2000ГОСТ Р ИСО 11137-2000
 




ГОСТЫ, СТРОИТЕЛЬНЫЕ и ТЕХНИЧЕСКИЕ НОРМАТИВЫ.
Некоммерческая онлайн система, содержащая все Российские Госты, национальные Стандарты и нормативы.
В Системе содержится более 150000 файлов нормативно-технической документации, действующей на территории РФ.
Система предназначена для широкого круга инженерно-технических специалистов.

Рейтинг@Mail.ru Яндекс цитирования

Copyright © www.gostrf.com, 2008 - 2026