Крупнейшая бесплатная информационно-справочная система онлайн доступа к полному собранию технических нормативно-правовых актов РФ. Огромная база технических нормативов (более 150 тысяч документов) и полное собрание национальных стандартов, аутентичное официальной базе Госстандарта. GOSTRF.com - это более 1 Терабайта бесплатной технической информации для всех пользователей интернета. Все электронные копии представленных здесь документов могут распространяться без каких-либо ограничений. Поощряется распространение информации с этого сайта на любых других ресурсах. Каждый человек имеет право на неограниченный доступ к этим документам! Каждый человек имеет право на знание требований, изложенных в данных нормативно-правовых актах!

  


 

ГОСТ 25346-89

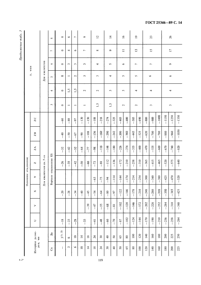
Основные нормы взаимозаменяемости. Единая система допусков и посадок. Общие положения, ряды допусков и основных отклонений

Обозначение:ГОСТ 25346-89
Текущий статус документа: действующий
Название документа рус.:Основные нормы взаимозаменяемости. Единая система допусков и посадок. Общие положения, ряды допусков и основных отклонений
Название документа англ.:Basic norms of interchangeability. Unified system of tolerances and fits. General, series of tolerances and fundamental deviations
Дата актуализации текста:01.12.2013
Дата издания:01.03.2004
Дата введения:01.01.1990
Дата последнего изменения:22.05.2013
Переиздание:переиздание с поправками
Область применения:Настоящий стандарт распространяется на гладкие элементы деталей, цилиндрические и ограниченные параллельными плоскостями, а также на образованные ими посадки и устанавливает термины, определения и условные обозначения, допуски и основные отклонения системы допусков и посадок для размеров до 3150 мм и любых линейных размеров, если они не установлены другими стандартами
Список изменений:№0 от 01.05.1992 (рег. 01.05.1992) «Дата введения перенесена»
№0 от 01.01.1991 (рег. 01.01.1991) «Дата введения перенесена»
№0 от 01.07.2014 (рег. 22.11.2012) «Поправка к изменению»
№0 от 01.07.2014 (рег. 19.12.2012) «Отменен»
ГОСТ 25346-89ГОСТ 25346-89ГОСТ 25346-89ГОСТ 25346-89ГОСТ 25346-89ГОСТ 25346-89ГОСТ 25346-89ГОСТ 25346-89ГОСТ 25346-89ГОСТ 25346-89ГОСТ 25346-89ГОСТ 25346-89ГОСТ 25346-89ГОСТ 25346-89ГОСТ 25346-89ГОСТ 25346-89ГОСТ 25346-89ГОСТ 25346-89ГОСТ 25346-89ГОСТ 25346-89ГОСТ 25346-89ГОСТ 25346-89ГОСТ 25346-89
 




ГОСТЫ, СТРОИТЕЛЬНЫЕ и ТЕХНИЧЕСКИЕ НОРМАТИВЫ.
Некоммерческая онлайн система, содержащая все Российские Госты, национальные Стандарты и нормативы.
В Системе содержится более 150000 файлов нормативно-технической документации, действующей на территории РФ.
Система предназначена для широкого круга инженерно-технических специалистов.

Рейтинг@Mail.ru Яндекс цитирования

Copyright © www.gostrf.com, 2008 - 2026