Крупнейшая бесплатная информационно-справочная система онлайн доступа к полному собранию технических нормативно-правовых актов РФ. Огромная база технических нормативов (более 150 тысяч документов) и полное собрание национальных стандартов, аутентичное официальной базе Госстандарта. GOSTRF.com - это более 1 Терабайта бесплатной технической информации для всех пользователей интернета. Все электронные копии представленных здесь документов могут распространяться без каких-либо ограничений. Поощряется распространение информации с этого сайта на любых других ресурсах. Каждый человек имеет право на неограниченный доступ к этим документам! Каждый человек имеет право на знание требований, изложенных в данных нормативно-правовых актах!

  


 

ГОСТ 28406-89

Персональные электронные вычислительные машины. Интерфейсы видеомониторов. Общие требования

Обозначение:ГОСТ 28406-89
Текущий статус документа: действующий
Название документа рус.:Персональные электронные вычислительные машины. Интерфейсы видеомониторов. Общие требования
Название документа англ.:Personal computers. Videomonitors interfaces. General requirements
Дата актуализации текста:01.12.2013
Дата издания:01.08.2005
Дата введения:01.01.1991
Дата последнего изменения:22.05.2013
Переиздание:переиздание
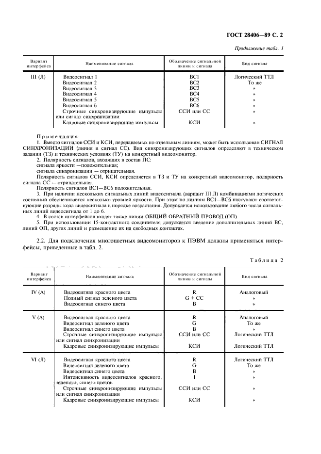
Область применения:Настоящий стандарт распространяется на интерфейсы, предназначенные для сопряжения видеотерминалов, разрабатываемых по ГОСТ 27954, с персональными электронными вычислительными машинами (ПЭВМ), разрабатываемыми по ГОСТ 27201.
Стандарт не распространяется на интерфейсы видеотерминалов, технические задания на разработку которых утверждены до 01.01.90, а также интерфейсы, предназначенные для сопряжения видеомониторов с ПЭВМ типа ПМ1 по ГОСТ 27201.
Стандарт устанавливает требования к физической реализации интерфейсов и определяет состав и наличие линий интерфейсов
ГОСТ 28406-89ГОСТ 28406-89ГОСТ 28406-89ГОСТ 28406-89ГОСТ 28406-89ГОСТ 28406-89ГОСТ 28406-89ГОСТ 28406-89ГОСТ 28406-89ГОСТ 28406-89ГОСТ 28406-89ГОСТ 28406-89
 




ГОСТЫ, СТРОИТЕЛЬНЫЕ и ТЕХНИЧЕСКИЕ НОРМАТИВЫ.
Некоммерческая онлайн система, содержащая все Российские Госты, национальные Стандарты и нормативы.
В Системе содержится более 150000 файлов нормативно-технической документации, действующей на территории РФ.
Система предназначена для широкого круга инженерно-технических специалистов.

Рейтинг@Mail.ru Яндекс цитирования

Copyright © www.gostrf.com, 2008 - 2026