Крупнейшая бесплатная информационно-справочная система онлайн доступа к полному собранию технических нормативно-правовых актов РФ. Огромная база технических нормативов (более 150 тысяч документов) и полное собрание национальных стандартов, аутентичное официальной базе Госстандарта. GOSTRF.com - это более 1 Терабайта бесплатной технической информации для всех пользователей интернета. Все электронные копии представленных здесь документов могут распространяться без каких-либо ограничений. Поощряется распространение информации с этого сайта на любых других ресурсах. Каждый человек имеет право на неограниченный доступ к этим документам! Каждый человек имеет право на знание требований, изложенных в данных нормативно-правовых актах!

  


 

ГОСТ 22045-89

Краны мостовые электрические однобалочные опорные. Технические условия

Обозначение:ГОСТ 22045-89
Текущий статус документа: действующий
Название документа рус.:Краны мостовые электрические однобалочные опорные. Технические условия
Название документа англ.:Overhead travelling single-beam cranes. Specifications
Дата актуализации текста:01.12.2013
Дата издания:01.11.2008
Дата введения:01.01.1991
Дата последнего изменения:22.05.2013
Переиздание:переиздание с изм. 1
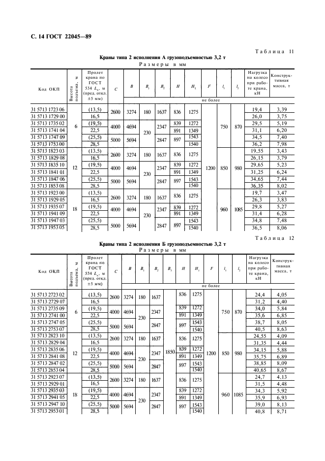
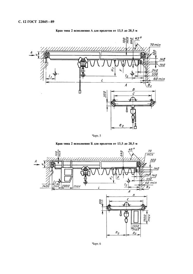
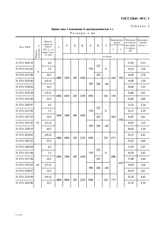
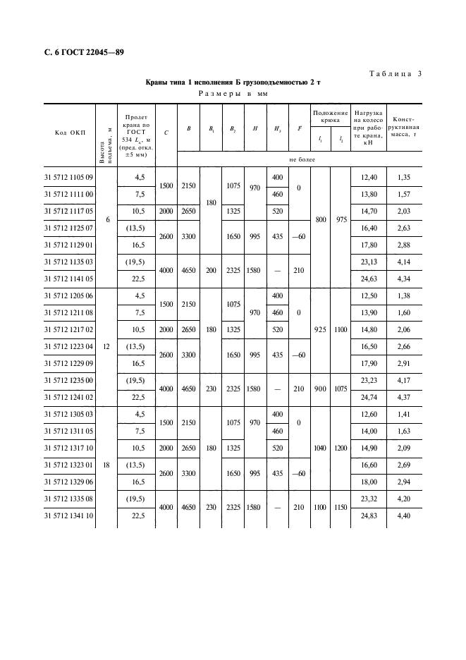
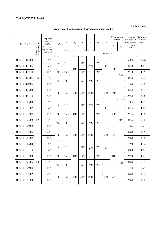
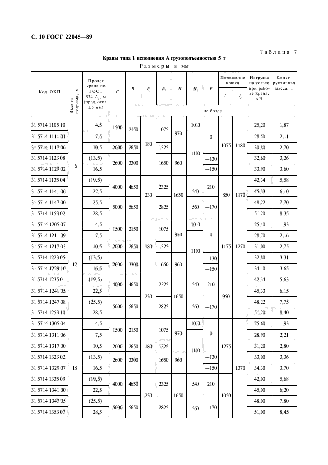
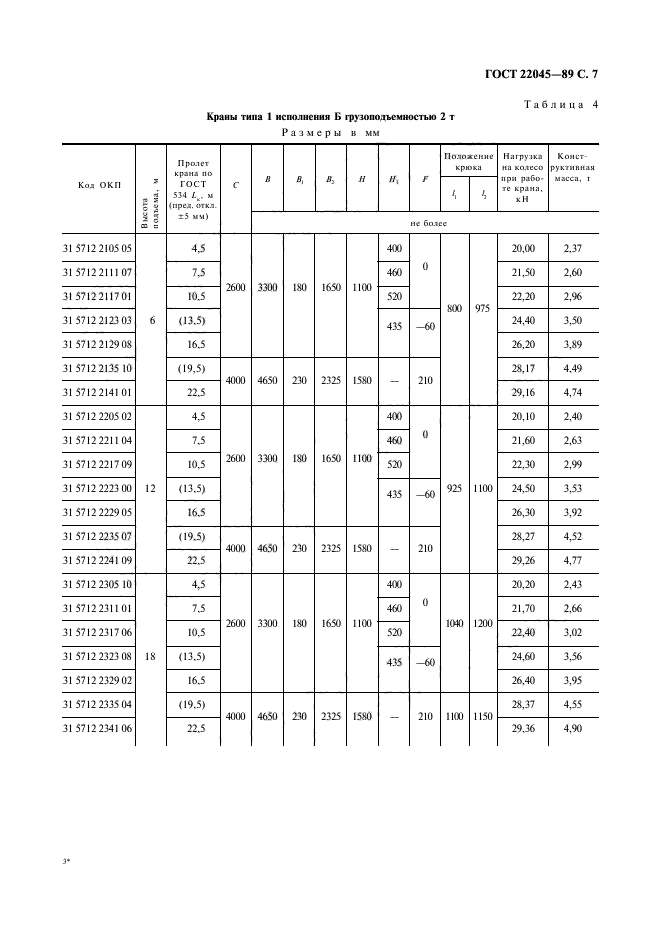
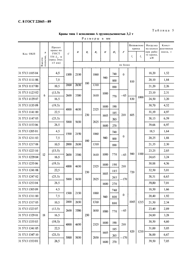
Область применения:Настоящий стандарт распространяется на мостовые электрические однобалочные опорные краны, группы режима работы 3К по ГОСТ 25546 с электрической талью и электрическим механизмом передвижения, грузоподъемностью от 1 до 5 т, работающие на трехфазном токе напряжением 220, 240, 380, 400, 415 В частотой 50 Гц и напряжением 220, 380, 400, 440 В частотой 60 Гц, изготавливаемые в климатическом исполнении У и Т, категории размещения 1, 2 и 3 по ГОСТ 15150, для работы при температуре от плюс 40 до минус 40 грал. С.
Стандарт не распространяется на краны, предназначенные для работы во взрывоопасной и пожароопасной средах, в помещениях с парами кислот и щелочей, концентрации которых вызывают разрушение электрической изоляции, для транспортирования грузов, нагретых свыше 300 град. С и расплавленного металла, шлака, ядовитых и взрывчатых веществ и других опасных грузов
Список изменений:№1 от 01.11.1991 (рег. 14.06.1991) «Срок действия продлен»
№2 от 01.09.1997 (рег. 26.03.1997) «Срок действия продлен»
ГОСТ 22045-89ГОСТ 22045-89ГОСТ 22045-89ГОСТ 22045-89ГОСТ 22045-89ГОСТ 22045-89ГОСТ 22045-89ГОСТ 22045-89ГОСТ 22045-89ГОСТ 22045-89ГОСТ 22045-89ГОСТ 22045-89ГОСТ 22045-89ГОСТ 22045-89ГОСТ 22045-89ГОСТ 22045-89ГОСТ 22045-89ГОСТ 22045-89ГОСТ 22045-89ГОСТ 22045-89ГОСТ 22045-89ГОСТ 22045-89ГОСТ 22045-89ГОСТ 22045-89ГОСТ 22045-89ГОСТ 22045-89ГОСТ 22045-89
 




ГОСТЫ, СТРОИТЕЛЬНЫЕ и ТЕХНИЧЕСКИЕ НОРМАТИВЫ.
Некоммерческая онлайн система, содержащая все Российские Госты, национальные Стандарты и нормативы.
В Системе содержится более 150000 файлов нормативно-технической документации, действующей на территории РФ.
Система предназначена для широкого круга инженерно-технических специалистов.

Рейтинг@Mail.ru Яндекс цитирования

Copyright © www.gostrf.com, 2008 - 2026