Крупнейшая бесплатная информационно-справочная система онлайн доступа к полному собранию технических нормативно-правовых актов РФ. Огромная база технических нормативов (более 150 тысяч документов) и полное собрание национальных стандартов, аутентичное официальной базе Госстандарта. GOSTRF.com - это более 1 Терабайта бесплатной технической информации для всех пользователей интернета. Все электронные копии представленных здесь документов могут распространяться без каких-либо ограничений. Поощряется распространение информации с этого сайта на любых других ресурсах. Каждый человек имеет право на неограниченный доступ к этим документам! Каждый человек имеет право на знание требований, изложенных в данных нормативно-правовых актах!

  


 

ГОСТ 27694-88

Микросхемы интегральные. Усилители низкой, промежуточной и высокой частоты. Методы измерения электрических параметров

Обозначение:ГОСТ 27694-88
Текущий статус документа: действующий
Название документа рус.:Микросхемы интегральные. Усилители низкой, промежуточной и высокой частоты. Методы измерения электрических параметров
Название документа англ.:Integrated circuits. Low-, intermediate- and high-frequency amplifiers. Methods for measuring electric parameters
Дата актуализации текста:01.12.2013
Дата издания:01.05.1999
Дата введения:01.01.1990
Дата последнего изменения:22.05.2013
Переиздание:переиздание с изм. 1
Область применения:Настоящий стандарт распространяется на усилители низкой, промежуточной и высокой частоты и устанавливает требования для методов измерения электрических параметров
Список изменений:№1 от 01.01.1990 (рег. 26.06.1989) «Срок действия продлен»
№2 от 01.04.1991 (рег. 05.10.1990) «Срок действия продлен»
№3 от 01.01.1996 (рег. 25.04.1996) «Срок действия продлен»
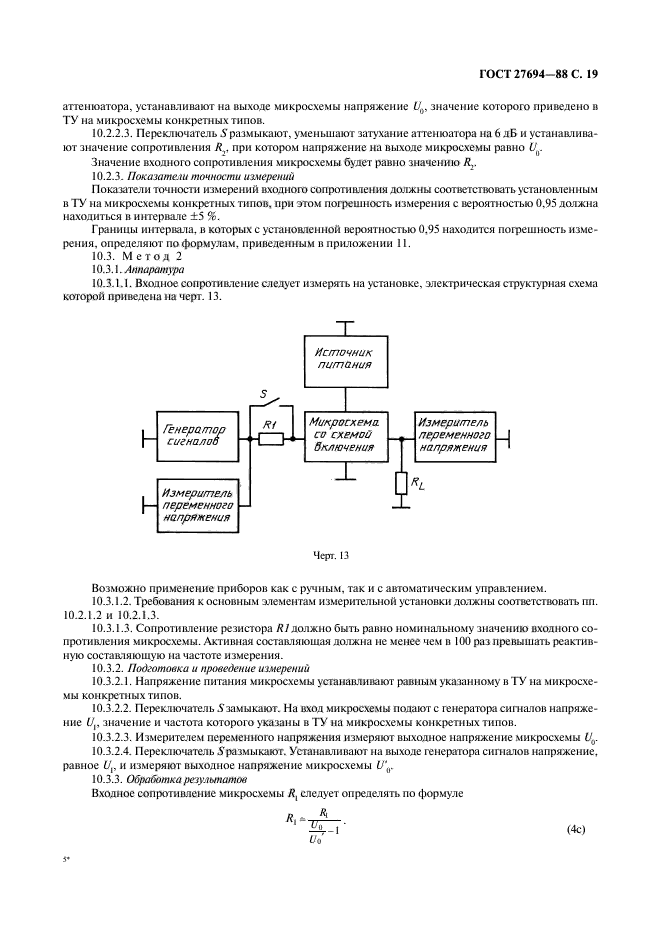
ГОСТ 27694-88ГОСТ 27694-88ГОСТ 27694-88ГОСТ 27694-88ГОСТ 27694-88ГОСТ 27694-88ГОСТ 27694-88ГОСТ 27694-88ГОСТ 27694-88ГОСТ 27694-88ГОСТ 27694-88ГОСТ 27694-88ГОСТ 27694-88ГОСТ 27694-88ГОСТ 27694-88ГОСТ 27694-88ГОСТ 27694-88ГОСТ 27694-88ГОСТ 27694-88ГОСТ 27694-88ГОСТ 27694-88ГОСТ 27694-88ГОСТ 27694-88ГОСТ 27694-88ГОСТ 27694-88ГОСТ 27694-88ГОСТ 27694-88ГОСТ 27694-88ГОСТ 27694-88ГОСТ 27694-88ГОСТ 27694-88ГОСТ 27694-88ГОСТ 27694-88ГОСТ 27694-88ГОСТ 27694-88ГОСТ 27694-88ГОСТ 27694-88ГОСТ 27694-88ГОСТ 27694-88ГОСТ 27694-88ГОСТ 27694-88ГОСТ 27694-88
 




ГОСТЫ, СТРОИТЕЛЬНЫЕ и ТЕХНИЧЕСКИЕ НОРМАТИВЫ.
Некоммерческая онлайн система, содержащая все Российские Госты, национальные Стандарты и нормативы.
В Системе содержится более 150000 файлов нормативно-технической документации, действующей на территории РФ.
Система предназначена для широкого круга инженерно-технических специалистов.

Рейтинг@Mail.ru Яндекс цитирования

Copyright © www.gostrf.com, 2008 - 2026