Крупнейшая бесплатная информационно-справочная система онлайн доступа к полному собранию технических нормативно-правовых актов РФ. Огромная база технических нормативов (более 150 тысяч документов) и полное собрание национальных стандартов, аутентичное официальной базе Госстандарта. GOSTRF.com - это более 1 Терабайта бесплатной технической информации для всех пользователей интернета. Все электронные копии представленных здесь документов могут распространяться без каких-либо ограничений. Поощряется распространение информации с этого сайта на любых других ресурсах. Каждый человек имеет право на неограниченный доступ к этим документам! Каждый человек имеет право на знание требований, изложенных в данных нормативно-правовых актах!

  


 

ГОСТ 25349-88

Основные нормы взаимозаменяемости. Единая система допусков и посадок. Поля допусков деталей из пластмасс

Обозначение:ГОСТ 25349-88
Текущий статус документа: действующий
Название документа рус.:Основные нормы взаимозаменяемости. Единая система допусков и посадок. Поля допусков деталей из пластмасс
Название документа англ.:Basic norms of interchangeability. Unified system of tolerances and fits. Tolerance zones for the plastics parts
Дата актуализации текста:01.12.2013
Дата издания:01.03.2004
Дата введения:30.06.1990
Дата последнего изменения:22.05.2013
Переиздание:переиздание
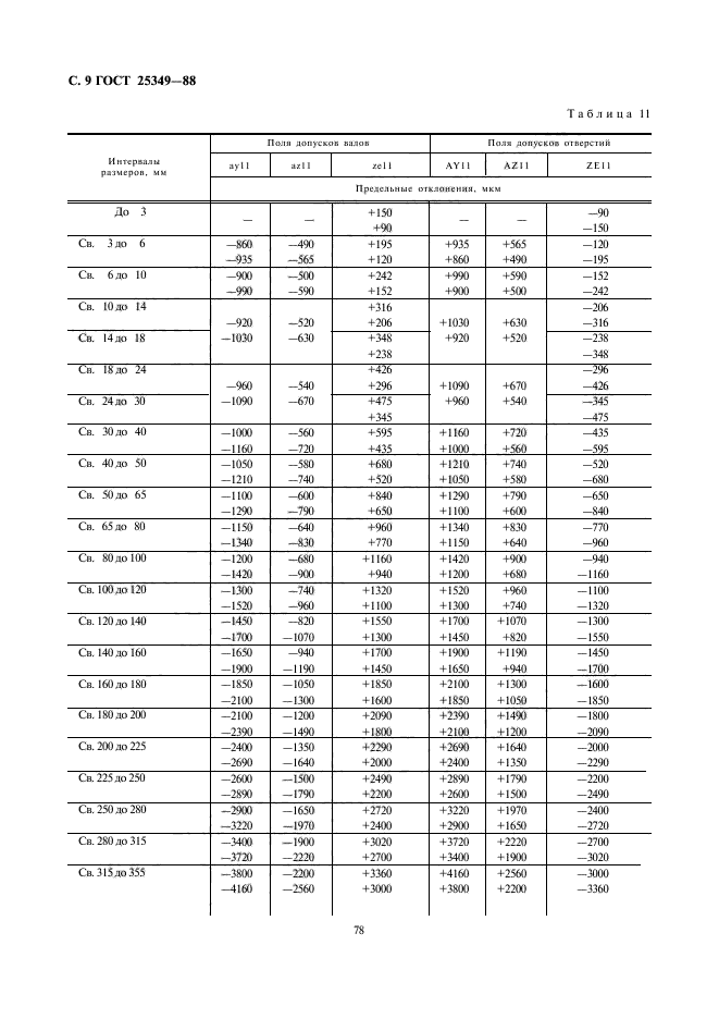
Область применения:Настоящий стандарт устанавливает поля допусков и предельные отклонения для гладких сопрягаемых и несопрягаемых элементов деталей из пластмасс с номинальными размерами до 3150 мм
ГОСТ 25349-88ГОСТ 25349-88ГОСТ 25349-88ГОСТ 25349-88ГОСТ 25349-88ГОСТ 25349-88ГОСТ 25349-88ГОСТ 25349-88ГОСТ 25349-88ГОСТ 25349-88ГОСТ 25349-88ГОСТ 25349-88
 




ГОСТЫ, СТРОИТЕЛЬНЫЕ и ТЕХНИЧЕСКИЕ НОРМАТИВЫ.
Некоммерческая онлайн система, содержащая все Российские Госты, национальные Стандарты и нормативы.
В Системе содержится более 150000 файлов нормативно-технической документации, действующей на территории РФ.
Система предназначена для широкого круга инженерно-технических специалистов.

Рейтинг@Mail.ru Яндекс цитирования

Copyright © www.gostrf.com, 2008 - 2026