Крупнейшая бесплатная информационно-справочная система онлайн доступа к полному собранию технических нормативно-правовых актов РФ. Огромная база технических нормативов (более 150 тысяч документов) и полное собрание национальных стандартов, аутентичное официальной базе Госстандарта. GOSTRF.com - это более 1 Терабайта бесплатной технической информации для всех пользователей интернета. Все электронные копии представленных здесь документов могут распространяться без каких-либо ограничений. Поощряется распространение информации с этого сайта на любых других ресурсах. Каждый человек имеет право на неограниченный доступ к этим документам! Каждый человек имеет право на знание требований, изложенных в данных нормативно-правовых актах!

  


 

ГОСТ 13535-87

Основные нормы взаимозаменяемости. Резьба упорная усиленная 45 градусов

Обозначение:ГОСТ 13535-87
Текущий статус документа: действующий
Название документа рус.:Основные нормы взаимозаменяемости. Резьба упорная усиленная 45 градусов
Название документа англ.:Buttress thread, strengthend 45 for diameters from 80 to 2000 mm. Profile, basic dimensions, tolerances
Дата актуализации текста:01.12.2013
Дата издания:01.01.2003
Дата введения:30.06.1988
Дата последнего изменения:22.05.2013
Переиздание:переиздание
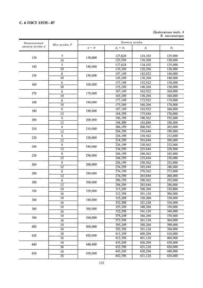
Область применения:Настоящий стандарт распространяется на упорную усиленную резьбу с углами наклона боковых сторон профиля 45 градусов и 3 градуса, диаметрами от 80 до 2000 мм и устанавливает ее профиль, основные размеры и допуски
ГОСТ 13535-87ГОСТ 13535-87ГОСТ 13535-87ГОСТ 13535-87ГОСТ 13535-87ГОСТ 13535-87ГОСТ 13535-87ГОСТ 13535-87ГОСТ 13535-87ГОСТ 13535-87ГОСТ 13535-87ГОСТ 13535-87ГОСТ 13535-87ГОСТ 13535-87ГОСТ 13535-87ГОСТ 13535-87ГОСТ 13535-87ГОСТ 13535-87ГОСТ 13535-87ГОСТ 13535-87ГОСТ 13535-87
 




ГОСТЫ, СТРОИТЕЛЬНЫЕ и ТЕХНИЧЕСКИЕ НОРМАТИВЫ.
Некоммерческая онлайн система, содержащая все Российские Госты, национальные Стандарты и нормативы.
В Системе содержится более 150000 файлов нормативно-технической документации, действующей на территории РФ.
Система предназначена для широкого круга инженерно-технических специалистов.

Рейтинг@Mail.ru Яндекс цитирования

Copyright © www.gostrf.com, 2008 - 2026