Крупнейшая бесплатная информационно-справочная система онлайн доступа к полному собранию технических нормативно-правовых актов РФ. Огромная база технических нормативов (более 150 тысяч документов) и полное собрание национальных стандартов, аутентичное официальной базе Госстандарта. GOSTRF.com - это более 1 Терабайта бесплатной технической информации для всех пользователей интернета. Все электронные копии представленных здесь документов могут распространяться без каких-либо ограничений. Поощряется распространение информации с этого сайта на любых других ресурсах. Каждый человек имеет право на неограниченный доступ к этим документам! Каждый человек имеет право на знание требований, изложенных в данных нормативно-правовых актах!

  


 

ГОСТ 13770-86

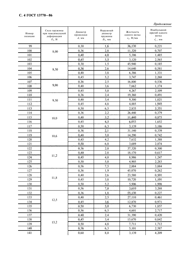
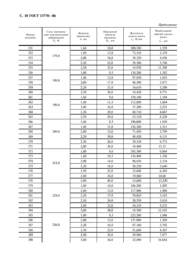
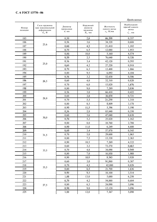
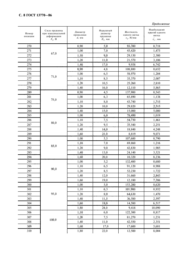
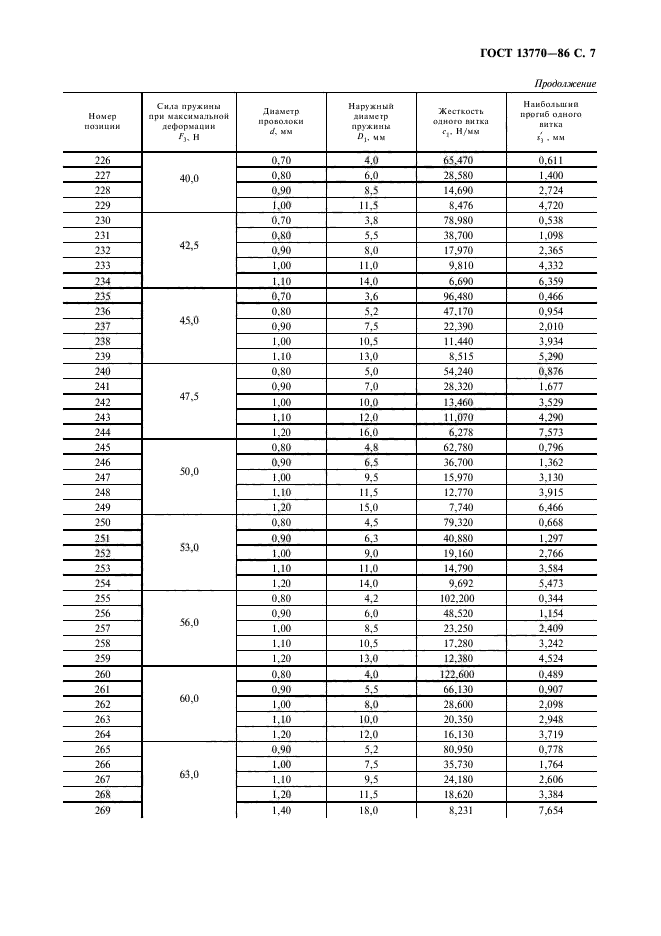
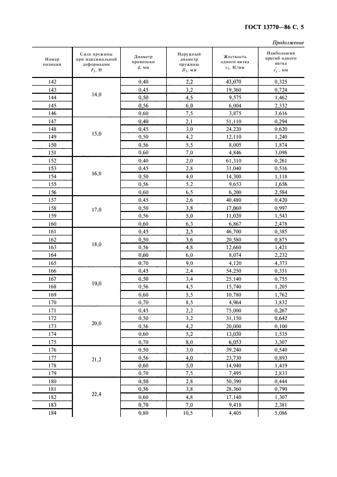
Пружины винтовые цилиндрические сжатия и растяжения II класса, разряда 1 из стали круглого сечения. Основные параметры витков

Обозначение:ГОСТ 13770-86
Текущий статус документа: действующий
Название документа рус.:Пружины винтовые цилиндрические сжатия и растяжения II класса, разряда 1 из стали круглого сечения. Основные параметры витков
Название документа англ.:Cylindrical helical compression (tension) springs of II class and of 1 category made of round steel. Main parameters of coils
Дата актуализации текста:01.12.2013
Дата издания:01.10.1999
Дата введения:30.06.1988
Дата последнего изменения:22.05.2013
Переиздание:переиздание с изм. 1
Область применения:Настоящий стандарт распространяется на пружины сжатия и растяжения II класса, разряда 1 с силами при максимальной деформации пружин от 1,50 до 1400 Н
Список изменений:№1 от 01.04.1989 (рег. 04.11.1988) «Срок действия продлен»
ГОСТ 13770-86ГОСТ 13770-86ГОСТ 13770-86ГОСТ 13770-86ГОСТ 13770-86ГОСТ 13770-86ГОСТ 13770-86ГОСТ 13770-86ГОСТ 13770-86ГОСТ 13770-86ГОСТ 13770-86ГОСТ 13770-86ГОСТ 13770-86ГОСТ 13770-86ГОСТ 13770-86
 




ГОСТЫ, СТРОИТЕЛЬНЫЕ и ТЕХНИЧЕСКИЕ НОРМАТИВЫ.
Некоммерческая онлайн система, содержащая все Российские Госты, национальные Стандарты и нормативы.
В Системе содержится более 150000 файлов нормативно-технической документации, действующей на территории РФ.
Система предназначена для широкого круга инженерно-технических специалистов.

Рейтинг@Mail.ru Яндекс цитирования

Copyright © www.gostrf.com, 2008 - 2026