Крупнейшая бесплатная информационно-справочная система онлайн доступа к полному собранию технических нормативно-правовых актов РФ. Огромная база технических нормативов (более 150 тысяч документов) и полное собрание национальных стандартов, аутентичное официальной базе Госстандарта. GOSTRF.com - это более 1 Терабайта бесплатной технической информации для всех пользователей интернета. Все электронные копии представленных здесь документов могут распространяться без каких-либо ограничений. Поощряется распространение информации с этого сайта на любых других ресурсах. Каждый человек имеет право на неограниченный доступ к этим документам! Каждый человек имеет право на знание требований, изложенных в данных нормативно-правовых актах!

  


 

ГОСТ 26381-84

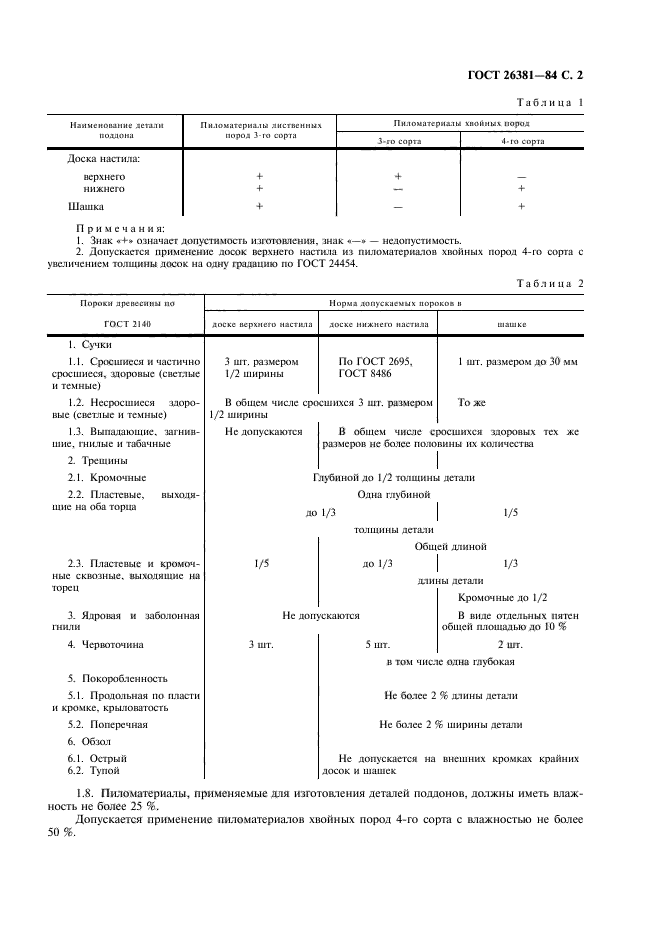
Поддоны плоские одноразового использования. Общие технические условия

Обозначение:ГОСТ 26381-84
Текущий статус документа: действующий
Название документа рус.:Поддоны плоские одноразового использования. Общие технические условия
Название документа англ.:Disposabl flat pallets. General specifications
Дата актуализации текста:01.12.2013
Дата издания:01.11.2004
Дата введения:01.01.1986
Дата последнего изменения:22.05.2013
Переиздание:переиздание с изм. 1
Область применения:Настоящий стандарт распространяется на поддоны плоские деревянные одноразового использования размерами в плане 800х1200 мм и 1000х1200 мм, предназначенные для формирования транспортных пакетов при доставке последних в районы или страны, из которых возврат поддонов нецелессобразен. Поддоны применяются при выполнении механизированных процессов перемещения, складирования и перевозки автомобильным, железнодорожным и водным транспортом.
Стандарт не распространяется на поддоны специального назначения и применяемые при доставке пакетов в страны с тропическим климатом
Список изменений:№1 от 01.01.1991 (рег. 22.03.1990) «Поправка»
ГОСТ 26381-84ГОСТ 26381-84ГОСТ 26381-84ГОСТ 26381-84ГОСТ 26381-84ГОСТ 26381-84ГОСТ 26381-84ГОСТ 26381-84
 




ГОСТЫ, СТРОИТЕЛЬНЫЕ и ТЕХНИЧЕСКИЕ НОРМАТИВЫ.
Некоммерческая онлайн система, содержащая все Российские Госты, национальные Стандарты и нормативы.
В Системе содержится более 150000 файлов нормативно-технической документации, действующей на территории РФ.
Система предназначена для широкого круга инженерно-технических специалистов.

Рейтинг@Mail.ru Яндекс цитирования

Copyright © www.gostrf.com, 2008 - 2026