Крупнейшая бесплатная информационно-справочная система онлайн доступа к полному собранию технических нормативно-правовых актов РФ. Огромная база технических нормативов (более 150 тысяч документов) и полное собрание национальных стандартов, аутентичное официальной базе Госстандарта. GOSTRF.com - это более 1 Терабайта бесплатной технической информации для всех пользователей интернета. Все электронные копии представленных здесь документов могут распространяться без каких-либо ограничений. Поощряется распространение информации с этого сайта на любых других ресурсах. Каждый человек имеет право на неограниченный доступ к этим документам! Каждый человек имеет право на знание требований, изложенных в данных нормативно-правовых актах!

  


 

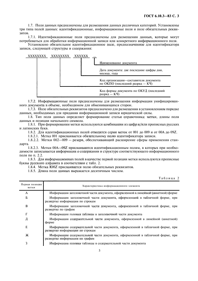
ГОСТ 6.10.3-83

Унифицированные системы документации. Запись информации унифицированных документов в коммуникативном формате

Обозначение:ГОСТ 6.10.3-83
Текущий статус документа: действующий
Название документа рус.:Унифицированные системы документации. Запись информации унифицированных документов в коммуникативном формате
Название документа англ.:Unified systems documentation. Presentation of unified documents information in exchange format
Дата актуализации текста:01.12.2013
Дата издания:01.03.2001
Дата введения:01.01.1986
Дата последнего изменения:22.05.2013
Переиздание:переиздание
Область применения:Настоящий стандарт распространяется на запись информации унифицированных документов общесоюзного назначения для обмена между АСУ различных сфер и уровней и ВЦ коллективного пользования.
Стандарт устанавливает оформление информации унифицированного документа в виде одной (или более) информационной записи, логическую структуру и способ размещения информационной записи
ГОСТ 6.10.3-83ГОСТ 6.10.3-83ГОСТ 6.10.3-83ГОСТ 6.10.3-83ГОСТ 6.10.3-83ГОСТ 6.10.3-83ГОСТ 6.10.3-83ГОСТ 6.10.3-83ГОСТ 6.10.3-83ГОСТ 6.10.3-83
 




ГОСТЫ, СТРОИТЕЛЬНЫЕ и ТЕХНИЧЕСКИЕ НОРМАТИВЫ.
Некоммерческая онлайн система, содержащая все Российские Госты, национальные Стандарты и нормативы.
В Системе содержится более 150000 файлов нормативно-технической документации, действующей на территории РФ.
Система предназначена для широкого круга инженерно-технических специалистов.

Рейтинг@Mail.ru Яндекс цитирования

Copyright © www.gostrf.com, 2008 - 2026