Крупнейшая бесплатная информационно-справочная система онлайн доступа к полному собранию технических нормативно-правовых актов РФ. Огромная база технических нормативов (более 150 тысяч документов) и полное собрание национальных стандартов, аутентичное официальной базе Госстандарта. GOSTRF.com - это более 1 Терабайта бесплатной технической информации для всех пользователей интернета. Все электронные копии представленных здесь документов могут распространяться без каких-либо ограничений. Поощряется распространение информации с этого сайта на любых других ресурсах. Каждый человек имеет право на неограниченный доступ к этим документам! Каждый человек имеет право на знание требований, изложенных в данных нормативно-правовых актах!

  


 

ГОСТ 8.400-80

Государственная система обеспечения единства измерений. Мерники металлические образцовые. Методика поверки

Обозначение:ГОСТ 8.400-80
Текущий статус документа: действующий
Название документа рус.:Государственная система обеспечения единства измерений. Мерники металлические образцовые. Методика поверки
Название документа англ.:State system for ensuring the uniformity of measurements. Standard metallic gauges. Calibration methods
Дата актуализации текста:01.12.2013
Дата издания:12.01.1981
Дата введения:30.06.1981
Дата последнего изменения:22.05.2013
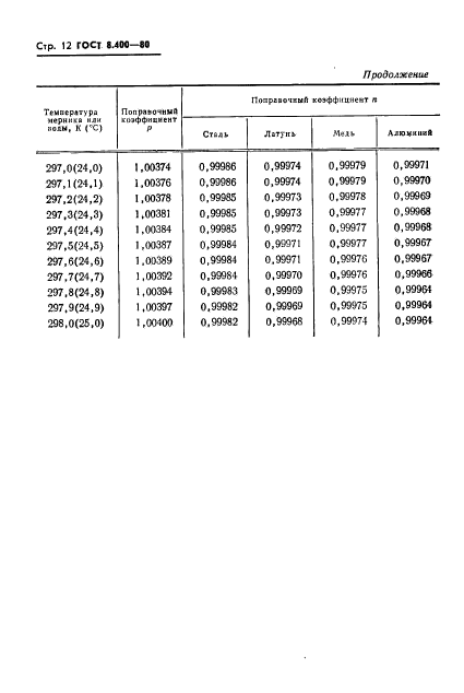
Область применения:Настоящий стандарт распространяется на образцовые металлические сливные мерники 1-го разряда и образцовые металлические сливные и наливные мерники 2-го разряда, находящиеся в эксплуатации, выпускаемые из производства и после ремонта, и устанавливает методы и средства их первичной и периодической поверок
Список изменений:№1 от 01.01.1991 (рег. 25.01.1990) «Поправка»
ГОСТ 8.400-80ГОСТ 8.400-80ГОСТ 8.400-80ГОСТ 8.400-80ГОСТ 8.400-80ГОСТ 8.400-80ГОСТ 8.400-80ГОСТ 8.400-80ГОСТ 8.400-80ГОСТ 8.400-80ГОСТ 8.400-80ГОСТ 8.400-80ГОСТ 8.400-80ГОСТ 8.400-80ГОСТ 8.400-80ГОСТ 8.400-80ГОСТ 8.400-80ГОСТ 8.400-80ГОСТ 8.400-80ГОСТ 8.400-80ГОСТ 8.400-80ГОСТ 8.400-80
 




ГОСТЫ, СТРОИТЕЛЬНЫЕ и ТЕХНИЧЕСКИЕ НОРМАТИВЫ.
Некоммерческая онлайн система, содержащая все Российские Госты, национальные Стандарты и нормативы.
В Системе содержится более 150000 файлов нормативно-технической документации, действующей на территории РФ.
Система предназначена для широкого круга инженерно-технических специалистов.

Рейтинг@Mail.ru Яндекс цитирования

Copyright © www.gostrf.com, 2008 - 2026