Крупнейшая бесплатная информационно-справочная система онлайн доступа к полному собранию технических нормативно-правовых актов РФ. Огромная база технических нормативов (более 150 тысяч документов) и полное собрание национальных стандартов, аутентичное официальной базе Госстандарта. GOSTRF.com - это более 1 Терабайта бесплатной технической информации для всех пользователей интернета. Все электронные копии представленных здесь документов могут распространяться без каких-либо ограничений. Поощряется распространение информации с этого сайта на любых других ресурсах. Каждый человек имеет право на неограниченный доступ к этим документам! Каждый человек имеет право на знание требований, изложенных в данных нормативно-правовых актах!

  


 

ГОСТ 3478-79

Подшипники качения. Основные размеры

Обозначение:ГОСТ 3478-79
Текущий статус документа: действующий
Название документа рус.:Подшипники качения. Основные размеры
Название документа англ.:Rolling bearings. Basic dimensions
Дата актуализации текста:01.12.2013
Дата издания:01.07.2003
Дата введения:01.01.1980
Дата последнего изменения:22.05.2013
Дата окончания срока действия:01.01.2014
Переиздание:переиздание с изм. 1
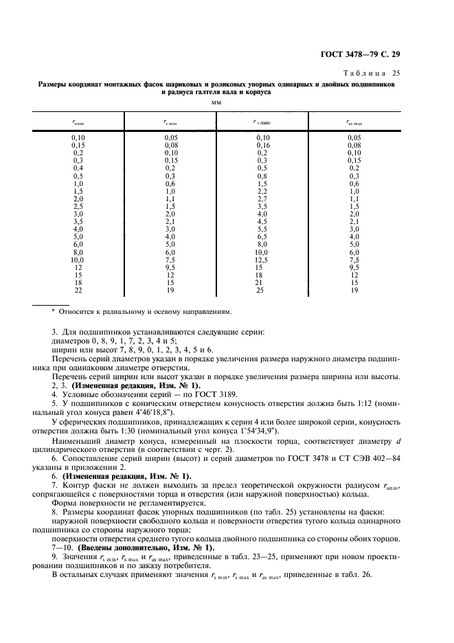
Область применения:Настоящий стандарт распространяется на радиальные, радиально-упорные, упорные шариковые и роликовые подшипники качения и устанавливает их основные размеры монтажных фасок и наибольшие предельные радиусы галтелей вала и корпуса
Список изменений:№0 от 01.07.2007 (рег. 28.11.2006) «Поправка к изменению»
№1 от 01.01.1987 (рег. 04.04.1986) «Срок действия продлен»
№2 от 31.01.1989 (рег. 24.01.1989) «Срок действия продлен»
ГОСТ 3478-79ГОСТ 3478-79ГОСТ 3478-79ГОСТ 3478-79ГОСТ 3478-79ГОСТ 3478-79ГОСТ 3478-79ГОСТ 3478-79ГОСТ 3478-79ГОСТ 3478-79ГОСТ 3478-79ГОСТ 3478-79ГОСТ 3478-79ГОСТ 3478-79ГОСТ 3478-79ГОСТ 3478-79ГОСТ 3478-79ГОСТ 3478-79ГОСТ 3478-79ГОСТ 3478-79ГОСТ 3478-79ГОСТ 3478-79ГОСТ 3478-79ГОСТ 3478-79ГОСТ 3478-79ГОСТ 3478-79ГОСТ 3478-79ГОСТ 3478-79ГОСТ 3478-79ГОСТ 3478-79ГОСТ 3478-79ГОСТ 3478-79ГОСТ 3478-79ГОСТ 3478-79ГОСТ 3478-79
 




ГОСТЫ, СТРОИТЕЛЬНЫЕ и ТЕХНИЧЕСКИЕ НОРМАТИВЫ.
Некоммерческая онлайн система, содержащая все Российские Госты, национальные Стандарты и нормативы.
В Системе содержится более 150000 файлов нормативно-технической документации, действующей на территории РФ.
Система предназначена для широкого круга инженерно-технических специалистов.

Рейтинг@Mail.ru Яндекс цитирования

Copyright © www.gostrf.com, 2008 - 2026