Крупнейшая бесплатная информационно-справочная система онлайн доступа к полному собранию технических нормативно-правовых актов РФ. Огромная база технических нормативов (более 150 тысяч документов) и полное собрание национальных стандартов, аутентичное официальной базе Госстандарта. GOSTRF.com - это более 1 Терабайта бесплатной технической информации для всех пользователей интернета. Все электронные копии представленных здесь документов могут распространяться без каких-либо ограничений. Поощряется распространение информации с этого сайта на любых других ресурсах. Каждый человек имеет право на неограниченный доступ к этим документам! Каждый человек имеет право на знание требований, изложенных в данных нормативно-правовых актах!

  


 

ГОСТ 22312-77

Таблица аэродинамическая. Динамические давления и температуры торможения воздуха за прямой ударной волной для скорости полета от 4000 до 7000 км/ч

Обозначение:ГОСТ 22312-77
Текущий статус документа: действующий
Название документа рус.:Таблица аэродинамическая. Динамические давления и температуры торможения воздуха за прямой ударной волной для скорости полета от 4000 до 7000 км/ч
Название документа англ.:Table aerodynamic. Dynamic pressures and temperatures of braking air at straight blast wave for flight velocity from 4000 to 7000 km/h
Дата актуализации текста:01.12.2013
Дата издания:26.05.1977
Дата введения:01.01.1978
Дата последнего изменения:22.05.2013
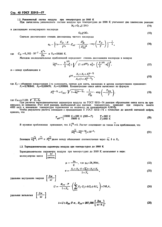
Область применения:Настоящий стандарт устанавливает числовые значения равновесного динамического давления и температуры торможения воздуха за прямой ударной волной в зависимости от величин истинной скорости и геопотенциальной высоты полета
ГОСТ 22312-77ГОСТ 22312-77ГОСТ 22312-77ГОСТ 22312-77ГОСТ 22312-77ГОСТ 22312-77ГОСТ 22312-77ГОСТ 22312-77ГОСТ 22312-77ГОСТ 22312-77ГОСТ 22312-77ГОСТ 22312-77ГОСТ 22312-77ГОСТ 22312-77ГОСТ 22312-77ГОСТ 22312-77ГОСТ 22312-77ГОСТ 22312-77ГОСТ 22312-77ГОСТ 22312-77ГОСТ 22312-77ГОСТ 22312-77ГОСТ 22312-77ГОСТ 22312-77ГОСТ 22312-77ГОСТ 22312-77ГОСТ 22312-77ГОСТ 22312-77ГОСТ 22312-77ГОСТ 22312-77ГОСТ 22312-77ГОСТ 22312-77ГОСТ 22312-77ГОСТ 22312-77ГОСТ 22312-77ГОСТ 22312-77ГОСТ 22312-77ГОСТ 22312-77ГОСТ 22312-77ГОСТ 22312-77ГОСТ 22312-77ГОСТ 22312-77ГОСТ 22312-77ГОСТ 22312-77ГОСТ 22312-77
 




ГОСТЫ, СТРОИТЕЛЬНЫЕ и ТЕХНИЧЕСКИЕ НОРМАТИВЫ.
Некоммерческая онлайн система, содержащая все Российские Госты, национальные Стандарты и нормативы.
В Системе содержится более 150000 файлов нормативно-технической документации, действующей на территории РФ.
Система предназначена для широкого круга инженерно-технических специалистов.

Рейтинг@Mail.ru Яндекс цитирования

Copyright © www.gostrf.com, 2008 - 2026