Крупнейшая бесплатная информационно-справочная система онлайн доступа к полному собранию технических нормативно-правовых актов РФ. Огромная база технических нормативов (более 150 тысяч документов) и полное собрание национальных стандартов, аутентичное официальной базе Госстандарта. GOSTRF.com - это более 1 Терабайта бесплатной технической информации для всех пользователей интернета. Все электронные копии представленных здесь документов могут распространяться без каких-либо ограничений. Поощряется распространение информации с этого сайта на любых других ресурсах. Каждый человек имеет право на неограниченный доступ к этим документам! Каждый человек имеет право на знание требований, изложенных в данных нормативно-правовых актах!

  


 

ГОСТ 14871-76

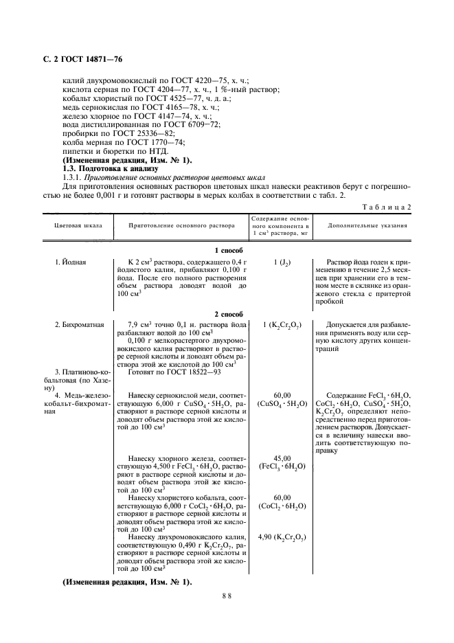
Реактивы. Методы определения цветности жидких химических реактивов и растворов реактивов

Обозначение:ГОСТ 14871-76
Текущий статус документа: действующий
Название документа рус.:Реактивы. Методы определения цветности жидких химических реактивов и растворов реактивов
Название документа англ.:Reagents. Methods for the determination of colority liquid chemicals reagents and solutions of reagents
Дата актуализации текста:01.12.2013
Дата издания:01.09.2003
Дата введения:30.06.1977
Дата последнего изменения:22.05.2013
Переиздание:переиздание с изм. 1
Область применения:Настоящий стандарт устанавливает следующие методы определения цветности жидких химических реактивов и растворов реактивов:
визуальный метод цветовой шкалы;
фотометрический метод
Список изменений:№0 от 19.04.1988 (рег. 19.04.1988) «Срок действия продлен»
№1 от 01.12.1980 (рег. 30.06.1980) «Срок действия продлен»
ГОСТ 14871-76ГОСТ 14871-76ГОСТ 14871-76ГОСТ 14871-76ГОСТ 14871-76
 




ГОСТЫ, СТРОИТЕЛЬНЫЕ и ТЕХНИЧЕСКИЕ НОРМАТИВЫ.
Некоммерческая онлайн система, содержащая все Российские Госты, национальные Стандарты и нормативы.
В Системе содержится более 150000 файлов нормативно-технической документации, действующей на территории РФ.
Система предназначена для широкого круга инженерно-технических специалистов.

Рейтинг@Mail.ru Яндекс цитирования

Copyright © www.gostrf.com, 2008 - 2026