Крупнейшая бесплатная информационно-справочная система онлайн доступа к полному собранию технических нормативно-правовых актов РФ. Огромная база технических нормативов (более 150 тысяч документов) и полное собрание национальных стандартов, аутентичное официальной базе Госстандарта. GOSTRF.com - это более 1 Терабайта бесплатной технической информации для всех пользователей интернета. Все электронные копии представленных здесь документов могут распространяться без каких-либо ограничений. Поощряется распространение информации с этого сайта на любых других ресурсах. Каждый человек имеет право на неограниченный доступ к этим документам! Каждый человек имеет право на знание требований, изложенных в данных нормативно-правовых актах!

  


 

ГОСТ 6431-75

Машины пишущие. Расположение клавиш и символов на клавиатуре

Обозначение:ГОСТ 6431-75
Текущий статус документа: действующий
Название документа рус.:Машины пишущие. Расположение клавиш и символов на клавиатуре
Название документа англ.:Typewriters. Arrangement of keys and symbols on keyboard
Дата актуализации текста:01.12.2013
Дата издания:01.10.1998
Дата введения:30.06.1976
Дата последнего изменения:22.05.2013
Переиздание:переиздание с изм. 1
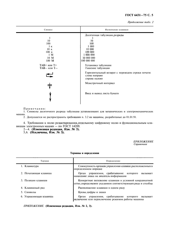
Область применения:Настоящий стандарт распространяется на клавиатуры пишущих машин.
Стандарт устанавливает расположение основных групп клавиш, шифр и специальных графических символов на этих клавишах, а также расположение на клавиатуре букв русского и латинского алфавитов
Список изменений:№0 от 14.06.1988 (рег. 14.06.1988) «Срок действия продлен»
№1 от 01.07.1981 (рег. 28.05.1981) «Срок действия продлен»
№2 от 01.01.1984 (рег. 05.04.1983) «Срок действия продлен»
№3 от 01.01.1991 (рег. 21.03.1990) «Срок действия продлен»
ГОСТ 6431-75ГОСТ 6431-75ГОСТ 6431-75ГОСТ 6431-75ГОСТ 6431-75ГОСТ 6431-75ГОСТ 6431-75
 




ГОСТЫ, СТРОИТЕЛЬНЫЕ и ТЕХНИЧЕСКИЕ НОРМАТИВЫ.
Некоммерческая онлайн система, содержащая все Российские Госты, национальные Стандарты и нормативы.
В Системе содержится более 150000 файлов нормативно-технической документации, действующей на территории РФ.
Система предназначена для широкого круга инженерно-технических специалистов.

Рейтинг@Mail.ru Яндекс цитирования

Copyright © www.gostrf.com, 2008 - 2026