Крупнейшая бесплатная информационно-справочная система онлайн доступа к полному собранию технических нормативно-правовых актов РФ. Огромная база технических нормативов (более 150 тысяч документов) и полное собрание национальных стандартов, аутентичное официальной базе Госстандарта. GOSTRF.com - это более 1 Терабайта бесплатной технической информации для всех пользователей интернета. Все электронные копии представленных здесь документов могут распространяться без каких-либо ограничений. Поощряется распространение информации с этого сайта на любых других ресурсах. Каждый человек имеет право на неограниченный доступ к этим документам! Каждый человек имеет право на знание требований, изложенных в данных нормативно-правовых актах!

  


 

ГОСТ 10994-74

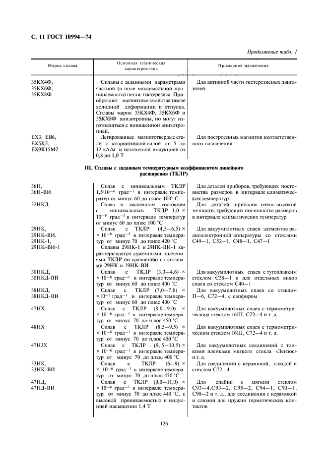
Сплавы прецизионные. Марки

Обозначение:ГОСТ 10994-74
Текущий статус документа: действующий
Название документа рус.:Сплавы прецизионные. Марки
Название документа англ.:Precision alloys. Grades
Дата актуализации текста:01.12.2013
Дата издания:01.10.2004
Дата введения:01.01.1975
Дата последнего изменения:22.05.2013
Переиздание:переиздание с поправкой и изм. 1
Область применения:Настоящий стандарт распространяется на прецизионные деформируемые сплавы и устанавливает требования к химическому составу сплавов.
К прецизионным сплавам относятся высоколегированные сплавы с заданными физическими и физико-механическими свойствами, требующие в ряде случаев узких пределов содержания элементов в химическом составе, специальной технологии выплавки и специальной обработки
Список изменений:№0 от 14.03.2002 (рег. 14.03.2002) «Дата введения перенесена»
№1 от 01.06.1975 (рег. 25.03.1975) «Срок действия продлен»
№2 от 01.11.1978 (рег. 29.06.1978) «Срок действия продлен»
№3 от 01.02.1980 (рег. 10.09.1979) «Срок действия продлен»
№4 от 01.01.1983 (рег. 30.07.1982) «Срок действия продлен»
№5 от 01.01.1990 (рег. 28.06.1989) «Срок действия продлен»
Приложение №1:Поправка к ГОСТ 10994-74
ГОСТ 10994-74ГОСТ 10994-74ГОСТ 10994-74ГОСТ 10994-74ГОСТ 10994-74ГОСТ 10994-74ГОСТ 10994-74ГОСТ 10994-74ГОСТ 10994-74ГОСТ 10994-74ГОСТ 10994-74ГОСТ 10994-74ГОСТ 10994-74ГОСТ 10994-74ГОСТ 10994-74ГОСТ 10994-74ГОСТ 10994-74ГОСТ 10994-74

Поправка к ГОСТ 10994-74

Обозначение:Поправка к ГОСТ 10994-74
Дата введения:14.03.2002


Поправка к ГОСТ 10994-74
 




ГОСТЫ, СТРОИТЕЛЬНЫЕ и ТЕХНИЧЕСКИЕ НОРМАТИВЫ.
Некоммерческая онлайн система, содержащая все Российские Госты, национальные Стандарты и нормативы.
В Системе содержится более 150000 файлов нормативно-технической документации, действующей на территории РФ.
Система предназначена для широкого круга инженерно-технических специалистов.

Рейтинг@Mail.ru Яндекс цитирования

Copyright © www.gostrf.com, 2008 - 2026