Крупнейшая бесплатная информационно-справочная система онлайн доступа к полному собранию технических нормативно-правовых актов РФ. Огромная база технических нормативов (более 150 тысяч документов) и полное собрание национальных стандартов, аутентичное официальной базе Госстандарта. GOSTRF.com - это более 1 Терабайта бесплатной технической информации для всех пользователей интернета. Все электронные копии представленных здесь документов могут распространяться без каких-либо ограничений. Поощряется распространение информации с этого сайта на любых других ресурсах. Каждый человек имеет право на неограниченный доступ к этим документам! Каждый человек имеет право на знание требований, изложенных в данных нормативно-правовых актах!

  


 

ГОСТ 18466-73

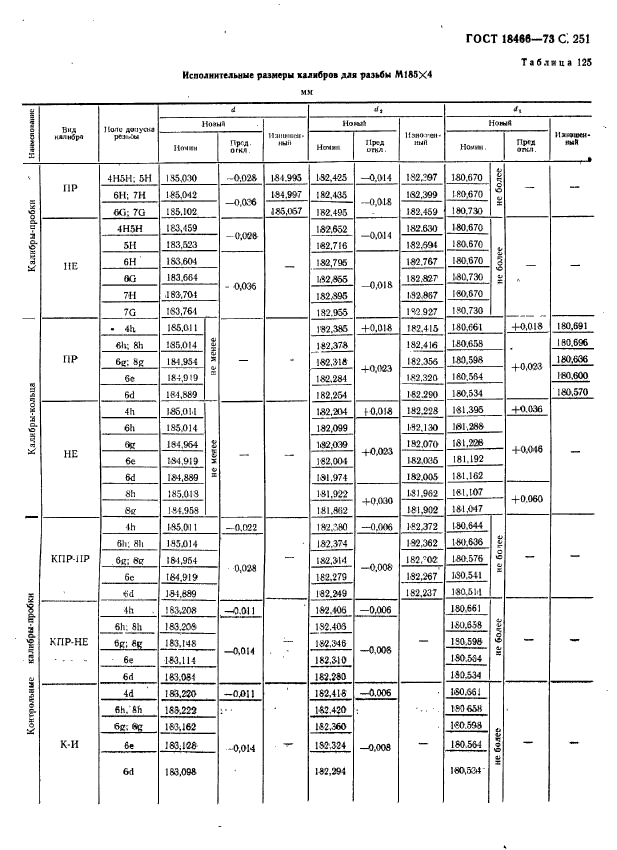
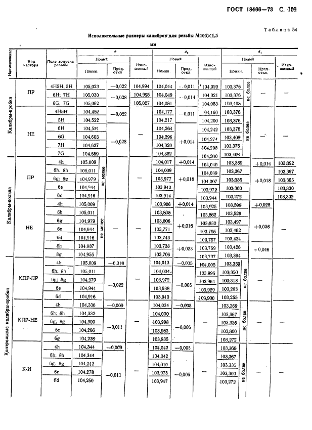
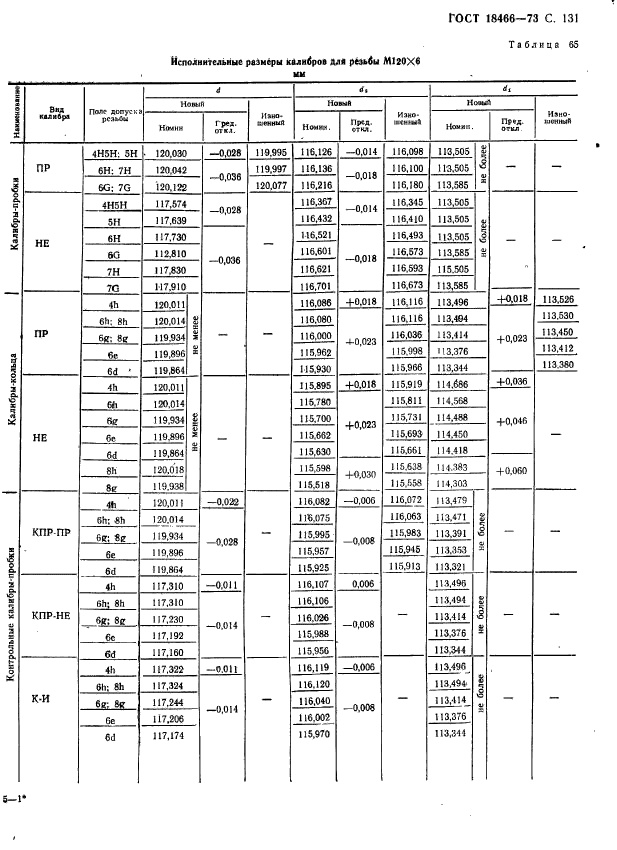
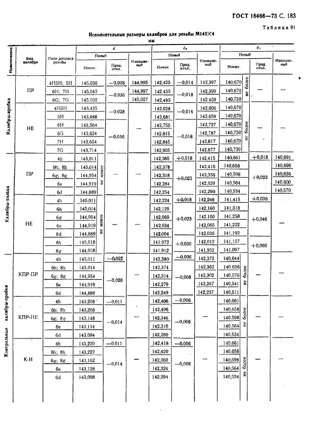
Калибры для метрической резьбы свыше 68 до 200 мм. Исполнительные размеры

Обозначение:ГОСТ 18466-73
Текущий статус документа: действующий
Название документа рус.:Калибры для метрической резьбы свыше 68 до 200 мм. Исполнительные размеры
Название документа англ.:Gauges for metric thread over 68 to 200 mm. Required dimensions
Дата актуализации текста:01.12.2013
Дата издания:01.06.1991
Дата введения:30.06.1973
Дата последнего изменения:22.05.2013
Переиздание:переиздание с изм. 1
Взамен:МН 3916-62 МН 5357-64
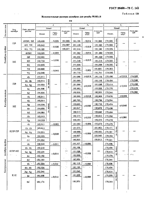
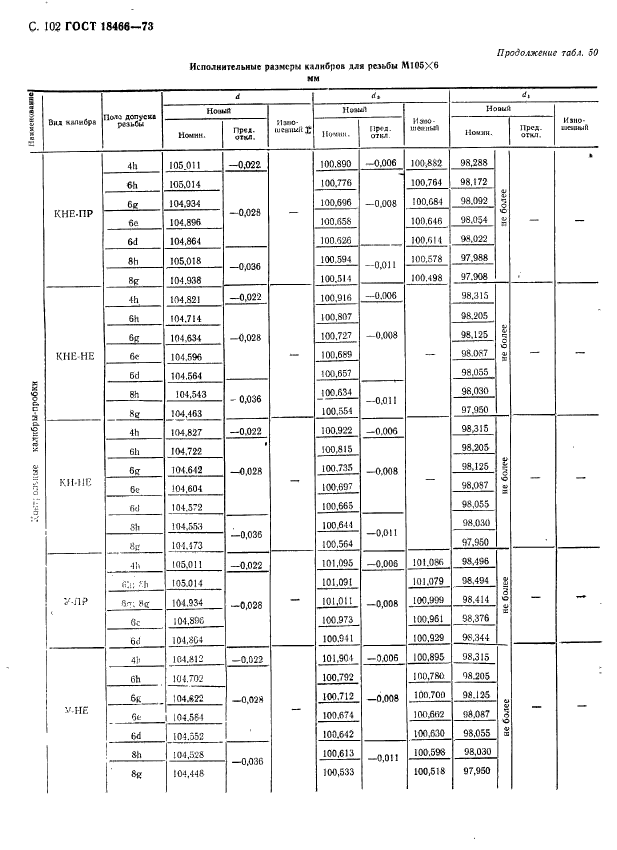
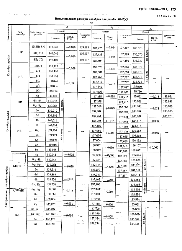
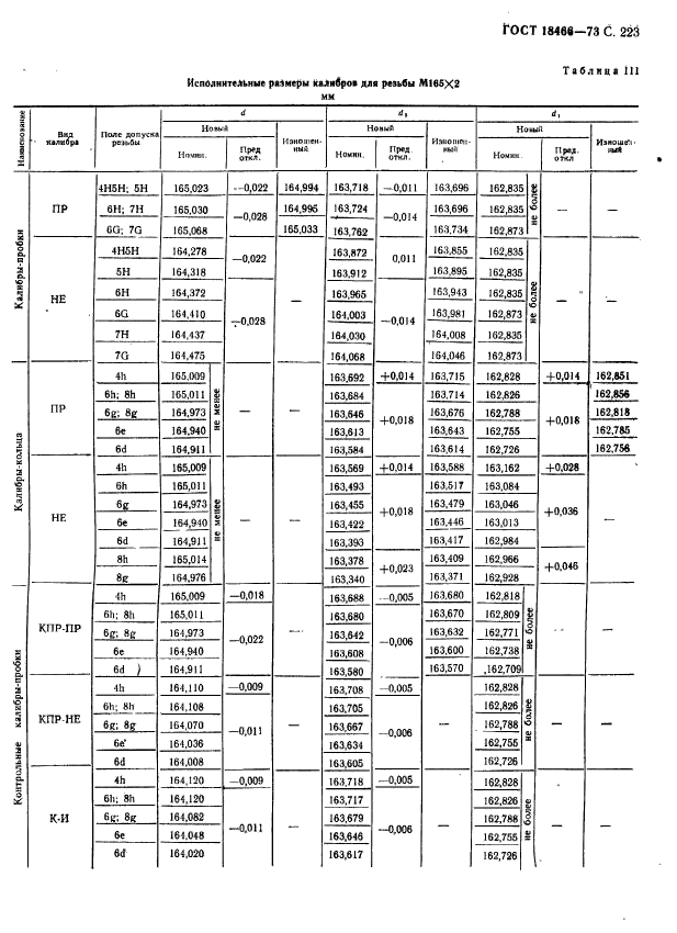
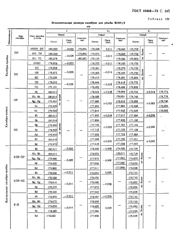
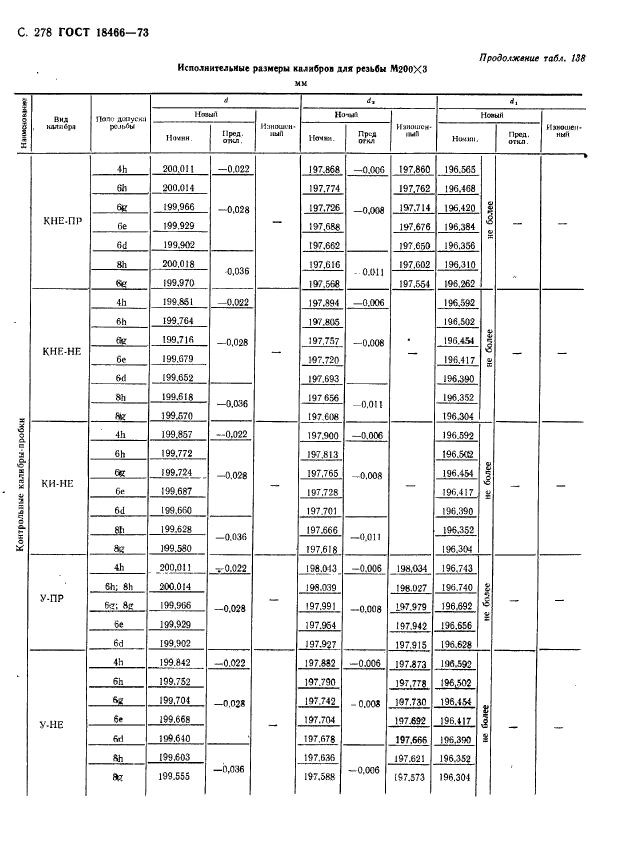
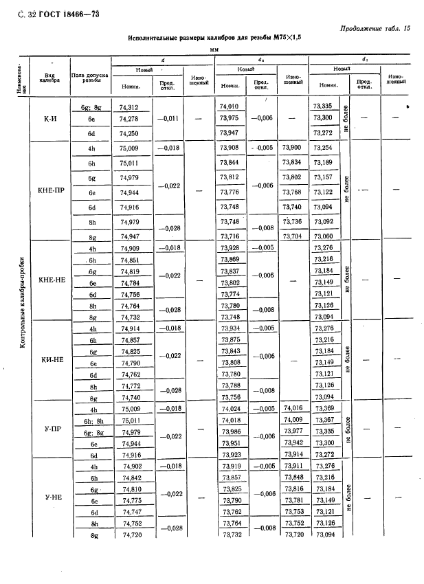
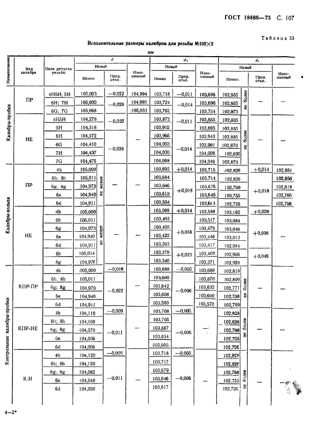
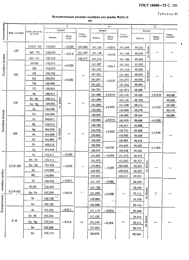
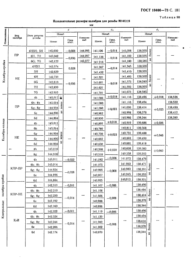
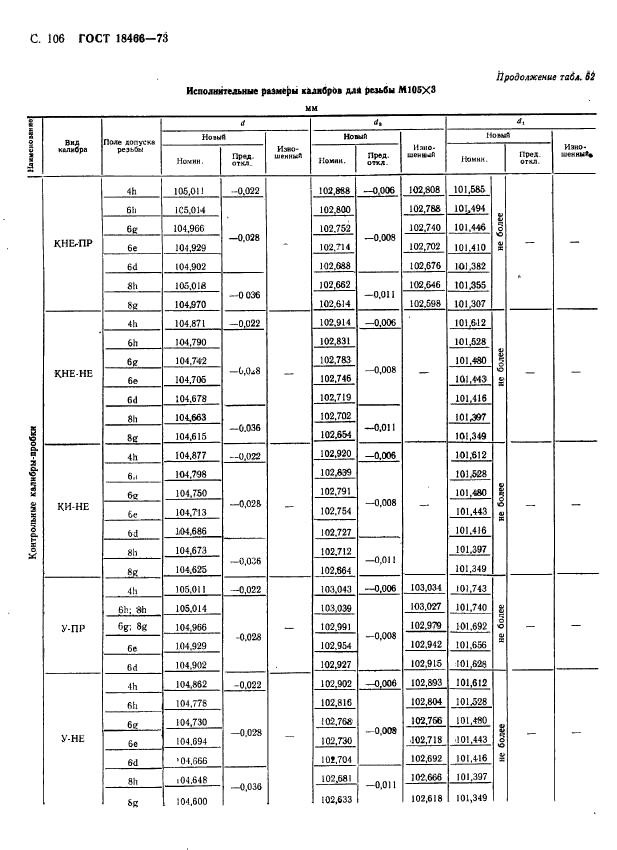
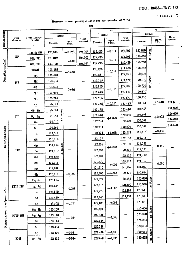
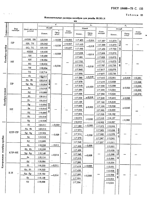
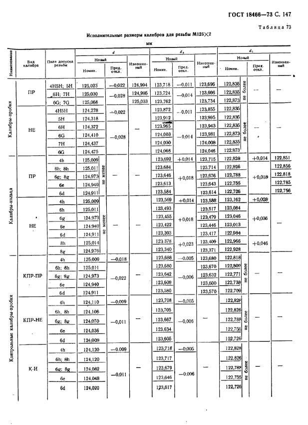
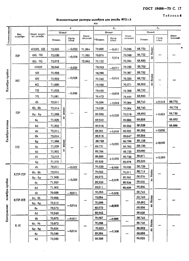
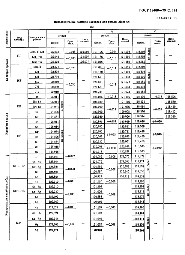
Область применения:Настоящий стандарт распространяется на резьбовые калибры для метрической резьбы
Список изменений:№0 от 01.02.2004 (рег. 01.02.2004) «Дата введения перенесена»
№1 от 01.07.1979 (рег. 12.03.1979) «Срок действия продлен»
№2 от 01.08.1983 (рег. 14.03.1983) «Срок действия продлен»
Приложение №1:Поправка к ГОСТ 18466-73
ГОСТ 18466-73ГОСТ 18466-73ГОСТ 18466-73ГОСТ 18466-73ГОСТ 18466-73ГОСТ 18466-73ГОСТ 18466-73ГОСТ 18466-73ГОСТ 18466-73ГОСТ 18466-73ГОСТ 18466-73ГОСТ 18466-73ГОСТ 18466-73ГОСТ 18466-73ГОСТ 18466-73ГОСТ 18466-73ГОСТ 18466-73ГОСТ 18466-73ГОСТ 18466-73ГОСТ 18466-73ГОСТ 18466-73ГОСТ 18466-73ГОСТ 18466-73ГОСТ 18466-73ГОСТ 18466-73ГОСТ 18466-73ГОСТ 18466-73ГОСТ 18466-73ГОСТ 18466-73ГОСТ 18466-73ГОСТ 18466-73ГОСТ 18466-73ГОСТ 18466-73ГОСТ 18466-73ГОСТ 18466-73ГОСТ 18466-73ГОСТ 18466-73ГОСТ 18466-73ГОСТ 18466-73ГОСТ 18466-73ГОСТ 18466-73ГОСТ 18466-73ГОСТ 18466-73ГОСТ 18466-73ГОСТ 18466-73ГОСТ 18466-73ГОСТ 18466-73ГОСТ 18466-73ГОСТ 18466-73ГОСТ 18466-73ГОСТ 18466-73ГОСТ 18466-73ГОСТ 18466-73ГОСТ 18466-73ГОСТ 18466-73ГОСТ 18466-73ГОСТ 18466-73ГОСТ 18466-73ГОСТ 18466-73ГОСТ 18466-73ГОСТ 18466-73ГОСТ 18466-73ГОСТ 18466-73ГОСТ 18466-73ГОСТ 18466-73ГОСТ 18466-73ГОСТ 18466-73ГОСТ 18466-73ГОСТ 18466-73ГОСТ 18466-73ГОСТ 18466-73ГОСТ 18466-73ГОСТ 18466-73ГОСТ 18466-73ГОСТ 18466-73ГОСТ 18466-73ГОСТ 18466-73ГОСТ 18466-73ГОСТ 18466-73ГОСТ 18466-73ГОСТ 18466-73ГОСТ 18466-73ГОСТ 18466-73ГОСТ 18466-73ГОСТ 18466-73ГОСТ 18466-73ГОСТ 18466-73ГОСТ 18466-73ГОСТ 18466-73ГОСТ 18466-73ГОСТ 18466-73ГОСТ 18466-73ГОСТ 18466-73ГОСТ 18466-73ГОСТ 18466-73ГОСТ 18466-73ГОСТ 18466-73ГОСТ 18466-73ГОСТ 18466-73ГОСТ 18466-73ГОСТ 18466-73ГОСТ 18466-73ГОСТ 18466-73ГОСТ 18466-73ГОСТ 18466-73ГОСТ 18466-73ГОСТ 18466-73ГОСТ 18466-73ГОСТ 18466-73ГОСТ 18466-73ГОСТ 18466-73ГОСТ 18466-73ГОСТ 18466-73ГОСТ 18466-73ГОСТ 18466-73ГОСТ 18466-73ГОСТ 18466-73ГОСТ 18466-73ГОСТ 18466-73ГОСТ 18466-73ГОСТ 18466-73ГОСТ 18466-73ГОСТ 18466-73ГОСТ 18466-73ГОСТ 18466-73ГОСТ 18466-73ГОСТ 18466-73ГОСТ 18466-73ГОСТ 18466-73ГОСТ 18466-73ГОСТ 18466-73ГОСТ 18466-73ГОСТ 18466-73ГОСТ 18466-73ГОСТ 18466-73ГОСТ 18466-73ГОСТ 18466-73ГОСТ 18466-73ГОСТ 18466-73ГОСТ 18466-73ГОСТ 18466-73ГОСТ 18466-73ГОСТ 18466-73ГОСТ 18466-73ГОСТ 18466-73ГОСТ 18466-73ГОСТ 18466-73ГОСТ 18466-73ГОСТ 18466-73ГОСТ 18466-73ГОСТ 18466-73ГОСТ 18466-73ГОСТ 18466-73ГОСТ 18466-73ГОСТ 18466-73ГОСТ 18466-73ГОСТ 18466-73ГОСТ 18466-73ГОСТ 18466-73ГОСТ 18466-73ГОСТ 18466-73ГОСТ 18466-73ГОСТ 18466-73ГОСТ 18466-73ГОСТ 18466-73ГОСТ 18466-73ГОСТ 18466-73ГОСТ 18466-73ГОСТ 18466-73ГОСТ 18466-73ГОСТ 18466-73ГОСТ 18466-73ГОСТ 18466-73ГОСТ 18466-73ГОСТ 18466-73ГОСТ 18466-73ГОСТ 18466-73ГОСТ 18466-73ГОСТ 18466-73ГОСТ 18466-73ГОСТ 18466-73ГОСТ 18466-73ГОСТ 18466-73ГОСТ 18466-73ГОСТ 18466-73ГОСТ 18466-73ГОСТ 18466-73ГОСТ 18466-73ГОСТ 18466-73ГОСТ 18466-73ГОСТ 18466-73ГОСТ 18466-73ГОСТ 18466-73ГОСТ 18466-73ГОСТ 18466-73ГОСТ 18466-73ГОСТ 18466-73ГОСТ 18466-73ГОСТ 18466-73ГОСТ 18466-73ГОСТ 18466-73ГОСТ 18466-73ГОСТ 18466-73ГОСТ 18466-73ГОСТ 18466-73ГОСТ 18466-73ГОСТ 18466-73ГОСТ 18466-73ГОСТ 18466-73ГОСТ 18466-73ГОСТ 18466-73ГОСТ 18466-73ГОСТ 18466-73ГОСТ 18466-73ГОСТ 18466-73ГОСТ 18466-73ГОСТ 18466-73ГОСТ 18466-73ГОСТ 18466-73ГОСТ 18466-73ГОСТ 18466-73ГОСТ 18466-73ГОСТ 18466-73ГОСТ 18466-73ГОСТ 18466-73ГОСТ 18466-73ГОСТ 18466-73ГОСТ 18466-73ГОСТ 18466-73ГОСТ 18466-73ГОСТ 18466-73ГОСТ 18466-73ГОСТ 18466-73ГОСТ 18466-73ГОСТ 18466-73ГОСТ 18466-73ГОСТ 18466-73ГОСТ 18466-73ГОСТ 18466-73ГОСТ 18466-73ГОСТ 18466-73ГОСТ 18466-73ГОСТ 18466-73ГОСТ 18466-73ГОСТ 18466-73ГОСТ 18466-73ГОСТ 18466-73ГОСТ 18466-73ГОСТ 18466-73ГОСТ 18466-73ГОСТ 18466-73ГОСТ 18466-73ГОСТ 18466-73ГОСТ 18466-73ГОСТ 18466-73ГОСТ 18466-73ГОСТ 18466-73ГОСТ 18466-73ГОСТ 18466-73ГОСТ 18466-73ГОСТ 18466-73ГОСТ 18466-73ГОСТ 18466-73ГОСТ 18466-73ГОСТ 18466-73ГОСТ 18466-73ГОСТ 18466-73ГОСТ 18466-73ГОСТ 18466-73ГОСТ 18466-73ГОСТ 18466-73ГОСТ 18466-73ГОСТ 18466-73ГОСТ 18466-73ГОСТ 18466-73ГОСТ 18466-73ГОСТ 18466-73ГОСТ 18466-73ГОСТ 18466-73ГОСТ 18466-73ГОСТ 18466-73ГОСТ 18466-73ГОСТ 18466-73ГОСТ 18466-73ГОСТ 18466-73ГОСТ 18466-73ГОСТ 18466-73ГОСТ 18466-73ГОСТ 18466-73ГОСТ 18466-73ГОСТ 18466-73ГОСТ 18466-73ГОСТ 18466-73ГОСТ 18466-73ГОСТ 18466-73ГОСТ 18466-73ГОСТ 18466-73ГОСТ 18466-73ГОСТ 18466-73ГОСТ 18466-73ГОСТ 18466-73ГОСТ 18466-73ГОСТ 18466-73ГОСТ 18466-73ГОСТ 18466-73ГОСТ 18466-73ГОСТ 18466-73ГОСТ 18466-73ГОСТ 18466-73ГОСТ 18466-73ГОСТ 18466-73ГОСТ 18466-73ГОСТ 18466-73ГОСТ 18466-73ГОСТ 18466-73ГОСТ 18466-73ГОСТ 18466-73ГОСТ 18466-73ГОСТ 18466-73ГОСТ 18466-73ГОСТ 18466-73ГОСТ 18466-73ГОСТ 18466-73ГОСТ 18466-73ГОСТ 18466-73ГОСТ 18466-73ГОСТ 18466-73ГОСТ 18466-73ГОСТ 18466-73ГОСТ 18466-73ГОСТ 18466-73ГОСТ 18466-73ГОСТ 18466-73ГОСТ 18466-73ГОСТ 18466-73

Поправка к ГОСТ 18466-73

Обозначение:Поправка к ГОСТ 18466-73
Дата введения:01.02.2004


Поправка к ГОСТ 18466-73Поправка к ГОСТ 18466-73Поправка к ГОСТ 18466-73Поправка к ГОСТ 18466-73Поправка к ГОСТ 18466-73
 




ГОСТЫ, СТРОИТЕЛЬНЫЕ и ТЕХНИЧЕСКИЕ НОРМАТИВЫ.
Некоммерческая онлайн система, содержащая все Российские Госты, национальные Стандарты и нормативы.
В Системе содержится более 150000 файлов нормативно-технической документации, действующей на территории РФ.
Система предназначена для широкого круга инженерно-технических специалистов.

Рейтинг@Mail.ru Яндекс цитирования

Copyright © www.gostrf.com, 2008 - 2026