Крупнейшая бесплатная информационно-справочная система онлайн доступа к полному собранию технических нормативно-правовых актов РФ. Огромная база технических нормативов (более 150 тысяч документов) и полное собрание национальных стандартов, аутентичное официальной базе Госстандарта. GOSTRF.com - это более 1 Терабайта бесплатной технической информации для всех пользователей интернета. Все электронные копии представленных здесь документов могут распространяться без каких-либо ограничений. Поощряется распространение информации с этого сайта на любых других ресурсах. Каждый человек имеет право на неограниченный доступ к этим документам! Каждый человек имеет право на знание требований, изложенных в данных нормативно-правовых актах!

  


 

ГОСТ 7588-71

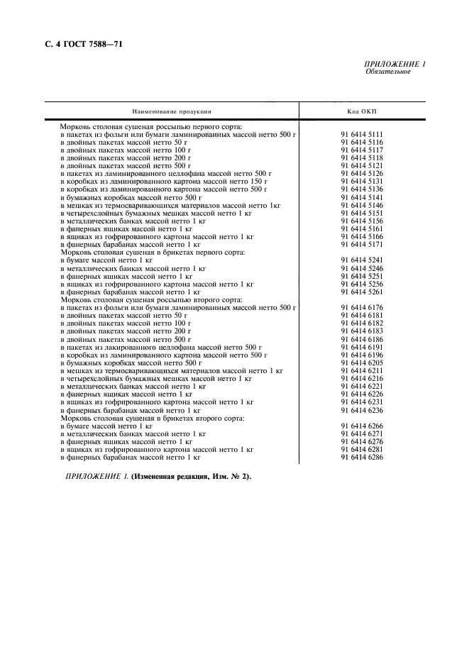
Морковь столовая сушеная. Технические условия

Обозначение:ГОСТ 7588-71
Текущий статус документа: утратил силу в РФ
Название документа рус.:Морковь столовая сушеная. Технические условия
Название документа англ.:Dried carrot. Specifications
Дата актуализации текста:01.12.2013
Дата издания:01.07.2001
Дата введения:01.09.1971
Дата последнего изменения:22.05.2013
Дата окончания срока действия:01.01.2008
Переиздание:переиздание с изм. 1
Заменяющий в части: в части разд. 3
Область применения:Настоящий стандарт распространяется на столовую морковь, подвергнутую предварительной подготовке и сушке в сушильных аппаратах
Список изменений:№0 от 01.01.2008 (рег. 27.12.2006) «Поправка к изменению»
№1 от 01.02.1983 (рег. 11.10.1982) «Срок действия продлен»
№2 от 01.12.1987 (рег. 08.06.1987) «Срок действия продлен»
№3 от 01.07.1991 (рег. 23.11.1990) «Срок действия продлен»
ГОСТ 7588-71ГОСТ 7588-71ГОСТ 7588-71ГОСТ 7588-71ГОСТ 7588-71ГОСТ 7588-71ГОСТ 7588-71
 




ГОСТЫ, СТРОИТЕЛЬНЫЕ и ТЕХНИЧЕСКИЕ НОРМАТИВЫ.
Некоммерческая онлайн система, содержащая все Российские Госты, национальные Стандарты и нормативы.
В Системе содержится более 150000 файлов нормативно-технической документации, действующей на территории РФ.
Система предназначена для широкого круга инженерно-технических специалистов.

Рейтинг@Mail.ru Яндекс цитирования

Copyright © www.gostrf.com, 2008 - 2026