Крупнейшая бесплатная информационно-справочная система онлайн доступа к полному собранию технических нормативно-правовых актов РФ. Огромная база технических нормативов (более 150 тысяч документов) и полное собрание национальных стандартов, аутентичное официальной базе Госстандарта. GOSTRF.com - это более 1 Терабайта бесплатной технической информации для всех пользователей интернета. Все электронные копии представленных здесь документов могут распространяться без каких-либо ограничений. Поощряется распространение информации с этого сайта на любых других ресурсах. Каждый человек имеет право на неограниченный доступ к этим документам! Каждый человек имеет право на знание требований, изложенных в данных нормативно-правовых актах!

  


 

ГОСТ 17026-71

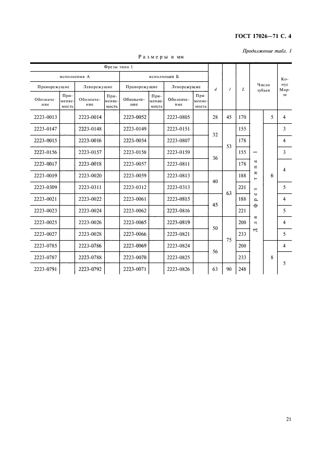
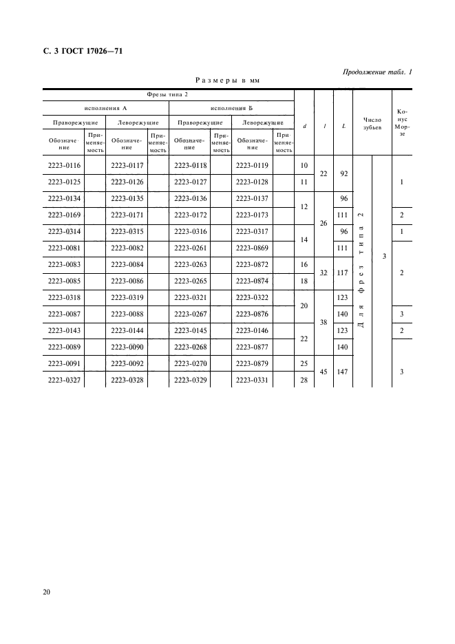
Фрезы концевые с коническим хвостовиком. Конструкция и размеры

Обозначение:ГОСТ 17026-71
Текущий статус документа: утратил силу в РФ
Название документа рус.:Фрезы концевые с коническим хвостовиком. Конструкция и размеры
Название документа англ.:End mills with tapered shank. Design and dimensions
Дата актуализации текста:01.12.2013
Дата издания:01.03.1998
Дата введения:01.01.1973
Дата последнего изменения:22.05.2013
Дата окончания срока действия:01.01.2010
Переиздание:переиздание с изм. 1
Взамен:МН 411-65 МН 412-65
Взамен в части: в части фрез с коническим хвостовиком
Область применения:Настоящий стандарт распространяется на концевые фрезы с коническим хвостовиком, предназначенные для обработки поверхностей и уступов
Список изменений:№0 от 01.01.2010 (рег. 11.11.2008) «Поправка к изменению»
№1 от 01.02.1973 (рег. 09.01.1973) «Срок действия продлен»
№2 от 15.01.1977 (рег. 10.01.1977) «Срок действия продлен»
№3 от 01.01.1983 (рег. 25.03.1982) «Срок действия продлен»
№4 от 01.09.1985 (рег. 23.04.1985) «Срок действия продлен»
№5 от 01.01.1996 (рег. 13.09.1995) «Срок действия продлен»
ГОСТ 17026-71ГОСТ 17026-71ГОСТ 17026-71ГОСТ 17026-71ГОСТ 17026-71ГОСТ 17026-71ГОСТ 17026-71ГОСТ 17026-71ГОСТ 17026-71ГОСТ 17026-71ГОСТ 17026-71ГОСТ 17026-71ГОСТ 17026-71
 




ГОСТЫ, СТРОИТЕЛЬНЫЕ и ТЕХНИЧЕСКИЕ НОРМАТИВЫ.
Некоммерческая онлайн система, содержащая все Российские Госты, национальные Стандарты и нормативы.
В Системе содержится более 150000 файлов нормативно-технической документации, действующей на территории РФ.
Система предназначена для широкого круга инженерно-технических специалистов.

Рейтинг@Mail.ru Яндекс цитирования

Copyright © www.gostrf.com, 2008 - 2026