Крупнейшая бесплатная информационно-справочная система онлайн доступа к полному собранию технических нормативно-правовых актов РФ. Огромная база технических нормативов (более 150 тысяч документов) и полное собрание национальных стандартов, аутентичное официальной базе Госстандарта. GOSTRF.com - это более 1 Терабайта бесплатной технической информации для всех пользователей интернета. Все электронные копии представленных здесь документов могут распространяться без каких-либо ограничений. Поощряется распространение информации с этого сайта на любых других ресурсах. Каждый человек имеет право на неограниченный доступ к этим документам! Каждый человек имеет право на знание требований, изложенных в данных нормативно-правовых актах!

  


 

ГОСТ 6528-53

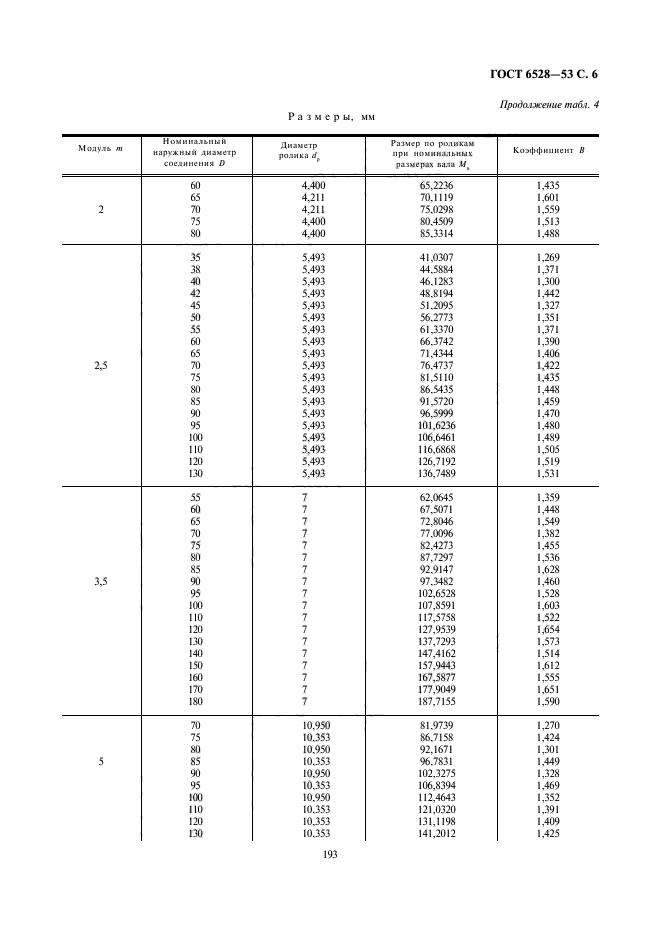
Калибры для шлицевых валов и отверстий с эвольвентным профилем. Допуски

Обозначение:ГОСТ 6528-53
Текущий статус документа: действующий
Название документа рус.:Калибры для шлицевых валов и отверстий с эвольвентным профилем. Допуски
Название документа англ.:Gauges for splined shaft and holes with evolute profile. Tolerances
Дата актуализации текста:01.12.2013
Дата издания:01.05.2003
Дата введения:30.06.1953
Дата последнего изменения:22.05.2013
Переиздание:переиздание
Область применения:Настоящий стандарт распространяется на калибры для контроля валов и отверстий шлицевых соединений с номинальным наружным диаметром до 150 мм и с модулем до 5 мм, а также на измерительные ролики для контроля толщины зубьев валов и ширины впадин отверстий всех размеров по ГОСТ 6033-51
ГОСТ 6528-53ГОСТ 6528-53ГОСТ 6528-53ГОСТ 6528-53ГОСТ 6528-53ГОСТ 6528-53ГОСТ 6528-53ГОСТ 6528-53ГОСТ 6528-53ГОСТ 6528-53ГОСТ 6528-53
 




ГОСТЫ, СТРОИТЕЛЬНЫЕ и ТЕХНИЧЕСКИЕ НОРМАТИВЫ.
Некоммерческая онлайн система, содержащая все Российские Госты, национальные Стандарты и нормативы.
В Системе содержится более 150000 файлов нормативно-технической документации, действующей на территории РФ.
Система предназначена для широкого круга инженерно-технических специалистов.

Рейтинг@Mail.ru Яндекс цитирования

Copyright © www.gostrf.com, 2008 - 2026