Крупнейшая бесплатная информационно-справочная система онлайн доступа к полному собранию технических нормативно-правовых актов РФ. Огромная база технических нормативов (более 150 тысяч документов) и полное собрание национальных стандартов, аутентичное официальной базе Госстандарта. GOSTRF.com - это более 1 Терабайта бесплатной технической информации для всех пользователей интернета. Все электронные копии представленных здесь документов могут распространяться без каких-либо ограничений. Поощряется распространение информации с этого сайта на любых других ресурсах. Каждый человек имеет право на неограниченный доступ к этим документам! Каждый человек имеет право на знание требований, изложенных в данных нормативно-правовых актах!

  


 

ГОСТ Р ИСО/МЭК 10166-2-2001

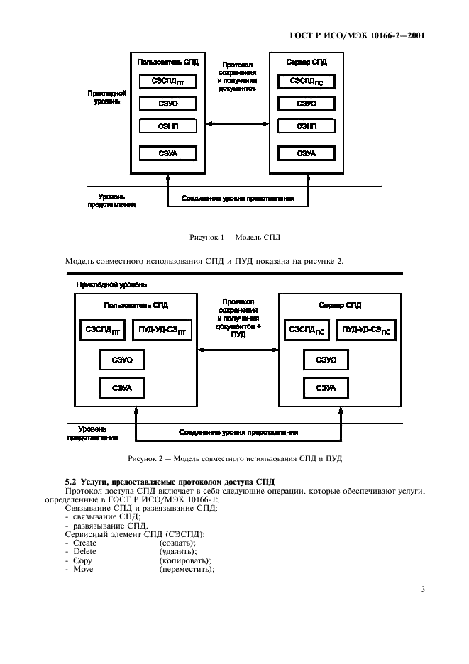
Информационная технология. Текстовые и учрежденческие системы. Сохранение и получение документов. Часть 2. Спецификация протокола

Обозначение:ГОСТ Р ИСО/МЭК 10166-2-2001
Текущий статус документа: действующий
Название документа рус.:Информационная технология. Текстовые и учрежденческие системы. Сохранение и получение документов. Часть 2. Спецификация протокола
Название документа англ.:Information technology. Text and office systems. Document filing and retrieval (DFR). Part 2. Protocol specification
Дата актуализации текста:01.12.2013
Дата издания:21.03.2001
Дата введения:01.01.2002
Дата последнего изменения:22.05.2013
Область применения:В настоящем стандарте определен протокол доступа сохранения и получения документов
ГОСТ Р ИСО/МЭК 10166-2-2001ГОСТ Р ИСО/МЭК 10166-2-2001ГОСТ Р ИСО/МЭК 10166-2-2001ГОСТ Р ИСО/МЭК 10166-2-2001ГОСТ Р ИСО/МЭК 10166-2-2001ГОСТ Р ИСО/МЭК 10166-2-2001ГОСТ Р ИСО/МЭК 10166-2-2001ГОСТ Р ИСО/МЭК 10166-2-2001ГОСТ Р ИСО/МЭК 10166-2-2001ГОСТ Р ИСО/МЭК 10166-2-2001ГОСТ Р ИСО/МЭК 10166-2-2001
 




ГОСТЫ, СТРОИТЕЛЬНЫЕ и ТЕХНИЧЕСКИЕ НОРМАТИВЫ.
Некоммерческая онлайн система, содержащая все Российские Госты, национальные Стандарты и нормативы.
В Системе содержится более 150000 файлов нормативно-технической документации, действующей на территории РФ.
Система предназначена для широкого круга инженерно-технических специалистов.

Рейтинг@Mail.ru Яндекс цитирования

Copyright © www.gostrf.com, 2008 - 2026