Крупнейшая бесплатная информационно-справочная система онлайн доступа к полному собранию технических нормативно-правовых актов РФ. Огромная база технических нормативов (более 150 тысяч документов) и полное собрание национальных стандартов, аутентичное официальной базе Госстандарта. GOSTRF.com - это более 1 Терабайта бесплатной технической информации для всех пользователей интернета. Все электронные копии представленных здесь документов могут распространяться без каких-либо ограничений. Поощряется распространение информации с этого сайта на любых других ресурсах. Каждый человек имеет право на неограниченный доступ к этим документам! Каждый человек имеет право на знание требований, изложенных в данных нормативно-правовых актах!

  


 

ГОСТ 30631-99

Общие требования к машинам, приборам и другим техническим изделиям в части стойкости к механическим внешним воздействующим факторам при эксплуатации

Обозначение:ГОСТ 30631-99
Текущий статус документа: действующий
Название документа рус.:Общие требования к машинам, приборам и другим техническим изделиям в части стойкости к механическим внешним воздействующим факторам при эксплуатации
Название документа англ.:General requirements for machines, instruments and other industrial products as to environment mechanical stability
Дата актуализации текста:01.12.2013
Дата издания:15.11.1999
Дата введения:31.08.2000
Дата последнего изменения:22.05.2013
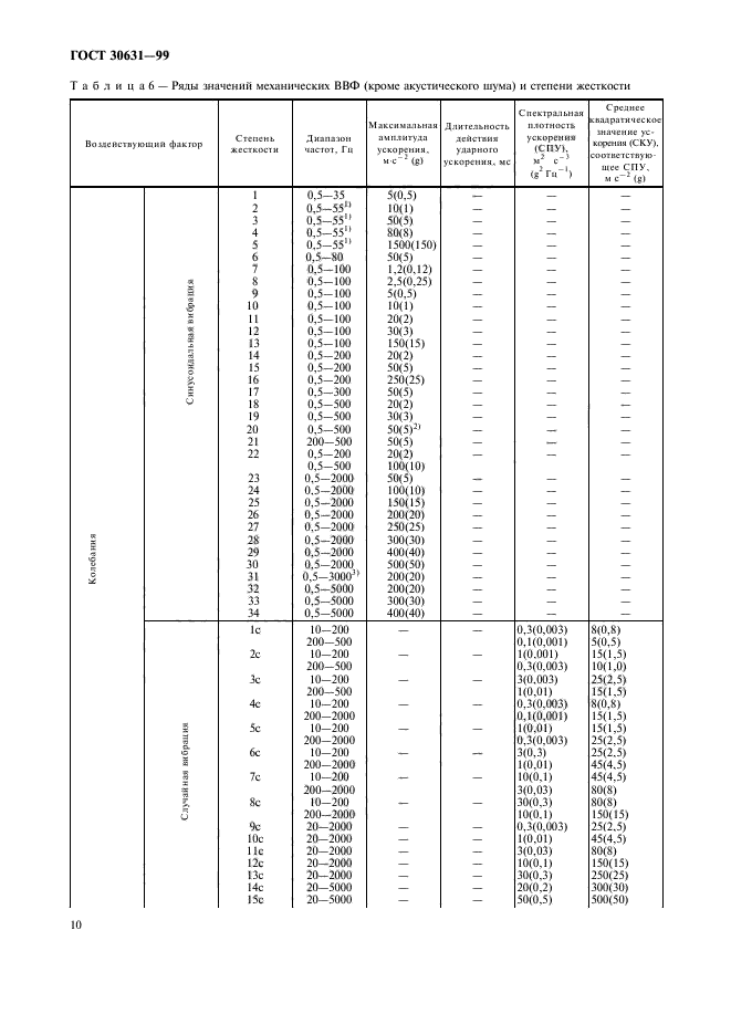
Область применения:Настоящий стандарт распространяется на все виды машин, приборов и других технических изделий и устанавливает общие технические требования по стойкости изделий к воздействию механических внешних воздействующих факторов, в обобщенном виде отражающие условия эксплуатации
ГОСТ 30631-99ГОСТ 30631-99ГОСТ 30631-99ГОСТ 30631-99ГОСТ 30631-99ГОСТ 30631-99ГОСТ 30631-99ГОСТ 30631-99ГОСТ 30631-99ГОСТ 30631-99ГОСТ 30631-99ГОСТ 30631-99ГОСТ 30631-99ГОСТ 30631-99ГОСТ 30631-99ГОСТ 30631-99ГОСТ 30631-99ГОСТ 30631-99ГОСТ 30631-99ГОСТ 30631-99ГОСТ 30631-99ГОСТ 30631-99ГОСТ 30631-99ГОСТ 30631-99ГОСТ 30631-99ГОСТ 30631-99ГОСТ 30631-99ГОСТ 30631-99ГОСТ 30631-99ГОСТ 30631-99ГОСТ 30631-99ГОСТ 30631-99ГОСТ 30631-99ГОСТ 30631-99ГОСТ 30631-99ГОСТ 30631-99
 




ГОСТЫ, СТРОИТЕЛЬНЫЕ и ТЕХНИЧЕСКИЕ НОРМАТИВЫ.
Некоммерческая онлайн система, содержащая все Российские Госты, национальные Стандарты и нормативы.
В Системе содержится более 150000 файлов нормативно-технической документации, действующей на территории РФ.
Система предназначена для широкого круга инженерно-технических специалистов.

Рейтинг@Mail.ru Яндекс цитирования

Copyright © www.gostrf.com, 2008 - 2026