Крупнейшая бесплатная информационно-справочная система онлайн доступа к полному собранию технических нормативно-правовых актов РФ. Огромная база технических нормативов (более 150 тысяч документов) и полное собрание национальных стандартов, аутентичное официальной базе Госстандарта. GOSTRF.com - это более 1 Терабайта бесплатной технической информации для всех пользователей интернета. Все электронные копии представленных здесь документов могут распространяться без каких-либо ограничений. Поощряется распространение информации с этого сайта на любых других ресурсах. Каждый человек имеет право на неограниченный доступ к этим документам! Каждый человек имеет право на знание требований, изложенных в данных нормативно-правовых актах!

  


 

ГОСТ 21488-97

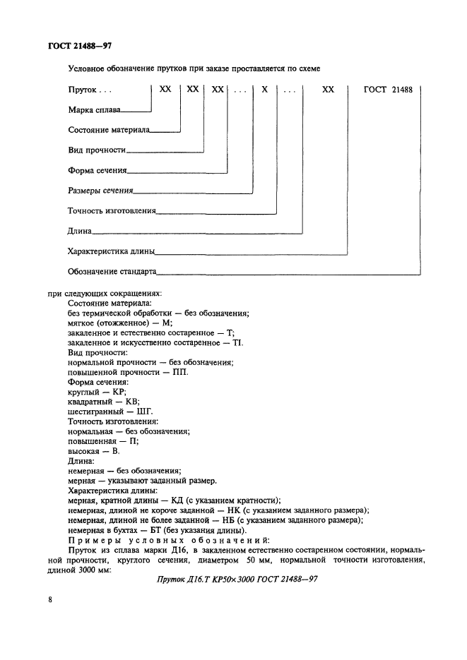
Прутки прессованные из алюминия и алюминиевых сплавов. Технические условия

Обозначение:ГОСТ 21488-97
Текущий статус документа: действующий
Название документа рус.:Прутки прессованные из алюминия и алюминиевых сплавов. Технические условия
Название документа англ.:Pressed bars of aluminium and aluminium alloys. Specifications
Дата актуализации текста:01.12.2013
Дата издания:01.08.2001
Дата введения:01.01.1999
Дата последнего изменения:22.05.2013
Переиздание:переиздание
Область применения:Настоящий стандарт распространяется на прессованные прутки круглого, квадратного и шестигранного сечений из алюминия и алюминиевых сплавов, применяемые в различных отраслях промышленности
Список изменений:№0 от 17.12.2001 (рег. 17.12.2001) «Дата введения перенесена»
№0 от 18.04.2002 (рег. 18.04.2002) «Дата введения перенесена»
№0 от 18.11.2002 (рег. 18.11.2002) «Дата введения перенесена»
№0 от 14.10.2003 (рег. 14.10.2003) «Дата введения перенесена»
№0 от 09.03.2004 (рег. 09.03.2004) «Дата введения перенесена»
Приложение №1:Поправка к ГОСТ 21488-97
Приложение №2:Поправка к ГОСТ 21488-97
Приложение №3:Поправка к ГОСТ 21488-97
Приложение №4:Поправка к ГОСТ 21488-97
Приложение №5:Поправка к ГОСТ 21488-97
ГОСТ 21488-97ГОСТ 21488-97ГОСТ 21488-97ГОСТ 21488-97ГОСТ 21488-97ГОСТ 21488-97ГОСТ 21488-97ГОСТ 21488-97ГОСТ 21488-97ГОСТ 21488-97ГОСТ 21488-97ГОСТ 21488-97ГОСТ 21488-97ГОСТ 21488-97ГОСТ 21488-97ГОСТ 21488-97ГОСТ 21488-97ГОСТ 21488-97ГОСТ 21488-97ГОСТ 21488-97ГОСТ 21488-97ГОСТ 21488-97ГОСТ 21488-97ГОСТ 21488-97ГОСТ 21488-97ГОСТ 21488-97ГОСТ 21488-97ГОСТ 21488-97ГОСТ 21488-97

Поправка к ГОСТ 21488-97

Обозначение:Поправка к ГОСТ 21488-97
Дата введения:09.03.2004


Поправка к ГОСТ 21488-97

Поправка к ГОСТ 21488-97

Обозначение:Поправка к ГОСТ 21488-97
Дата введения:17.12.2001


Поправка к ГОСТ 21488-97

Поправка к ГОСТ 21488-97

Обозначение:Поправка к ГОСТ 21488-97
Дата введения:18.04.2002


Поправка к ГОСТ 21488-97

Поправка к ГОСТ 21488-97

Обозначение:Поправка к ГОСТ 21488-97
Дата введения:18.11.2002


Поправка к ГОСТ 21488-97

Поправка к ГОСТ 21488-97

Обозначение:Поправка к ГОСТ 21488-97
Дата введения:14.10.2003


Поправка к ГОСТ 21488-97
 




ГОСТЫ, СТРОИТЕЛЬНЫЕ и ТЕХНИЧЕСКИЕ НОРМАТИВЫ.
Некоммерческая онлайн система, содержащая все Российские Госты, национальные Стандарты и нормативы.
В Системе содержится более 150000 файлов нормативно-технической документации, действующей на территории РФ.
Система предназначена для широкого круга инженерно-технических специалистов.

Рейтинг@Mail.ru Яндекс цитирования

Copyright © www.gostrf.com, 2008 - 2026