Крупнейшая бесплатная информационно-справочная система онлайн доступа к полному собранию технических нормативно-правовых актов РФ. Огромная база технических нормативов (более 150 тысяч документов) и полное собрание национальных стандартов, аутентичное официальной базе Госстандарта. GOSTRF.com - это более 1 Терабайта бесплатной технической информации для всех пользователей интернета. Все электронные копии представленных здесь документов могут распространяться без каких-либо ограничений. Поощряется распространение информации с этого сайта на любых других ресурсах. Каждый человек имеет право на неограниченный доступ к этим документам! Каждый человек имеет право на знание требований, изложенных в данных нормативно-правовых актах!

  


 

ГОСТ Р ИСО/МЭК 10857-95

Информационная технология. Микропроцессорные системы. Интерфейс Фьючебас+. Спецификации логического уровня

Обозначение:ГОСТ Р ИСО/МЭК 10857-95
Текущий статус документа: действующий
Название документа рус.:Информационная технология. Микропроцессорные системы. Интерфейс Фьючебас+. Спецификации логического уровня
Название документа англ.:Information technology. Microprocessor systems. Futurebus+. Logical protocol specification
Дата актуализации текста:01.12.2013
Дата издания:21.03.1996
Дата введения:01.01.1997
Дата последнего изменения:22.05.2013
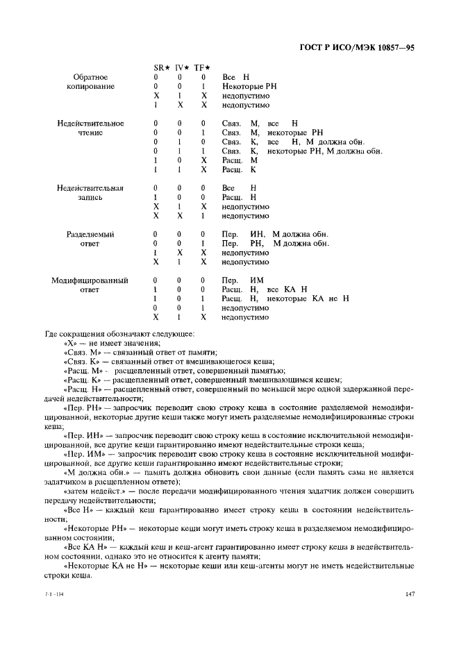
Область применения:Настоящий стандарт регламентирует логический (относящийся к временным соотношениям и протоколу поведения) уровень, определяющий набор сигнальных линий, который образует архитектуру магистрали из множества сегментов, и интерфейс модулей, подключенных к сегменту магистрали. Стандарт следует применять как составную часть профиля (набор соответствующих спецификаций, которые должны быть использованы совместно при разработке продукта для выполнения требований функционального стандарта) при построении систем с высоким уровнем совместимости.
Стандарт определяет полный набор правил для сигналов, передаваемых всеми модулями как при распределенном, так и централизованном способе доступа к магистрали. Стандарт также дает полный набор правил для сигналов, выдаваемых всеми модулями, участвующими в передачах на магистрали
ГОСТ Р ИСО/МЭК 10857-95ГОСТ Р ИСО/МЭК 10857-95ГОСТ Р ИСО/МЭК 10857-95ГОСТ Р ИСО/МЭК 10857-95ГОСТ Р ИСО/МЭК 10857-95ГОСТ Р ИСО/МЭК 10857-95ГОСТ Р ИСО/МЭК 10857-95ГОСТ Р ИСО/МЭК 10857-95ГОСТ Р ИСО/МЭК 10857-95ГОСТ Р ИСО/МЭК 10857-95ГОСТ Р ИСО/МЭК 10857-95ГОСТ Р ИСО/МЭК 10857-95ГОСТ Р ИСО/МЭК 10857-95ГОСТ Р ИСО/МЭК 10857-95ГОСТ Р ИСО/МЭК 10857-95ГОСТ Р ИСО/МЭК 10857-95ГОСТ Р ИСО/МЭК 10857-95ГОСТ Р ИСО/МЭК 10857-95ГОСТ Р ИСО/МЭК 10857-95ГОСТ Р ИСО/МЭК 10857-95ГОСТ Р ИСО/МЭК 10857-95ГОСТ Р ИСО/МЭК 10857-95ГОСТ Р ИСО/МЭК 10857-95ГОСТ Р ИСО/МЭК 10857-95ГОСТ Р ИСО/МЭК 10857-95ГОСТ Р ИСО/МЭК 10857-95ГОСТ Р ИСО/МЭК 10857-95ГОСТ Р ИСО/МЭК 10857-95ГОСТ Р ИСО/МЭК 10857-95ГОСТ Р ИСО/МЭК 10857-95ГОСТ Р ИСО/МЭК 10857-95ГОСТ Р ИСО/МЭК 10857-95ГОСТ Р ИСО/МЭК 10857-95ГОСТ Р ИСО/МЭК 10857-95ГОСТ Р ИСО/МЭК 10857-95ГОСТ Р ИСО/МЭК 10857-95ГОСТ Р ИСО/МЭК 10857-95ГОСТ Р ИСО/МЭК 10857-95ГОСТ Р ИСО/МЭК 10857-95ГОСТ Р ИСО/МЭК 10857-95ГОСТ Р ИСО/МЭК 10857-95ГОСТ Р ИСО/МЭК 10857-95ГОСТ Р ИСО/МЭК 10857-95ГОСТ Р ИСО/МЭК 10857-95ГОСТ Р ИСО/МЭК 10857-95ГОСТ Р ИСО/МЭК 10857-95ГОСТ Р ИСО/МЭК 10857-95ГОСТ Р ИСО/МЭК 10857-95ГОСТ Р ИСО/МЭК 10857-95ГОСТ Р ИСО/МЭК 10857-95ГОСТ Р ИСО/МЭК 10857-95ГОСТ Р ИСО/МЭК 10857-95ГОСТ Р ИСО/МЭК 10857-95ГОСТ Р ИСО/МЭК 10857-95ГОСТ Р ИСО/МЭК 10857-95ГОСТ Р ИСО/МЭК 10857-95ГОСТ Р ИСО/МЭК 10857-95ГОСТ Р ИСО/МЭК 10857-95ГОСТ Р ИСО/МЭК 10857-95ГОСТ Р ИСО/МЭК 10857-95ГОСТ Р ИСО/МЭК 10857-95ГОСТ Р ИСО/МЭК 10857-95ГОСТ Р ИСО/МЭК 10857-95ГОСТ Р ИСО/МЭК 10857-95ГОСТ Р ИСО/МЭК 10857-95ГОСТ Р ИСО/МЭК 10857-95ГОСТ Р ИСО/МЭК 10857-95ГОСТ Р ИСО/МЭК 10857-95ГОСТ Р ИСО/МЭК 10857-95ГОСТ Р ИСО/МЭК 10857-95ГОСТ Р ИСО/МЭК 10857-95ГОСТ Р ИСО/МЭК 10857-95ГОСТ Р ИСО/МЭК 10857-95ГОСТ Р ИСО/МЭК 10857-95ГОСТ Р ИСО/МЭК 10857-95ГОСТ Р ИСО/МЭК 10857-95ГОСТ Р ИСО/МЭК 10857-95ГОСТ Р ИСО/МЭК 10857-95ГОСТ Р ИСО/МЭК 10857-95ГОСТ Р ИСО/МЭК 10857-95ГОСТ Р ИСО/МЭК 10857-95ГОСТ Р ИСО/МЭК 10857-95ГОСТ Р ИСО/МЭК 10857-95ГОСТ Р ИСО/МЭК 10857-95ГОСТ Р ИСО/МЭК 10857-95ГОСТ Р ИСО/МЭК 10857-95ГОСТ Р ИСО/МЭК 10857-95ГОСТ Р ИСО/МЭК 10857-95ГОСТ Р ИСО/МЭК 10857-95ГОСТ Р ИСО/МЭК 10857-95ГОСТ Р ИСО/МЭК 10857-95ГОСТ Р ИСО/МЭК 10857-95ГОСТ Р ИСО/МЭК 10857-95ГОСТ Р ИСО/МЭК 10857-95ГОСТ Р ИСО/МЭК 10857-95ГОСТ Р ИСО/МЭК 10857-95ГОСТ Р ИСО/МЭК 10857-95ГОСТ Р ИСО/МЭК 10857-95ГОСТ Р ИСО/МЭК 10857-95ГОСТ Р ИСО/МЭК 10857-95ГОСТ Р ИСО/МЭК 10857-95ГОСТ Р ИСО/МЭК 10857-95ГОСТ Р ИСО/МЭК 10857-95ГОСТ Р ИСО/МЭК 10857-95ГОСТ Р ИСО/МЭК 10857-95ГОСТ Р ИСО/МЭК 10857-95ГОСТ Р ИСО/МЭК 10857-95ГОСТ Р ИСО/МЭК 10857-95ГОСТ Р ИСО/МЭК 10857-95ГОСТ Р ИСО/МЭК 10857-95ГОСТ Р ИСО/МЭК 10857-95ГОСТ Р ИСО/МЭК 10857-95ГОСТ Р ИСО/МЭК 10857-95ГОСТ Р ИСО/МЭК 10857-95ГОСТ Р ИСО/МЭК 10857-95ГОСТ Р ИСО/МЭК 10857-95ГОСТ Р ИСО/МЭК 10857-95ГОСТ Р ИСО/МЭК 10857-95ГОСТ Р ИСО/МЭК 10857-95ГОСТ Р ИСО/МЭК 10857-95ГОСТ Р ИСО/МЭК 10857-95ГОСТ Р ИСО/МЭК 10857-95ГОСТ Р ИСО/МЭК 10857-95ГОСТ Р ИСО/МЭК 10857-95ГОСТ Р ИСО/МЭК 10857-95ГОСТ Р ИСО/МЭК 10857-95ГОСТ Р ИСО/МЭК 10857-95ГОСТ Р ИСО/МЭК 10857-95ГОСТ Р ИСО/МЭК 10857-95ГОСТ Р ИСО/МЭК 10857-95ГОСТ Р ИСО/МЭК 10857-95ГОСТ Р ИСО/МЭК 10857-95ГОСТ Р ИСО/МЭК 10857-95ГОСТ Р ИСО/МЭК 10857-95ГОСТ Р ИСО/МЭК 10857-95ГОСТ Р ИСО/МЭК 10857-95ГОСТ Р ИСО/МЭК 10857-95ГОСТ Р ИСО/МЭК 10857-95ГОСТ Р ИСО/МЭК 10857-95ГОСТ Р ИСО/МЭК 10857-95ГОСТ Р ИСО/МЭК 10857-95ГОСТ Р ИСО/МЭК 10857-95ГОСТ Р ИСО/МЭК 10857-95ГОСТ Р ИСО/МЭК 10857-95ГОСТ Р ИСО/МЭК 10857-95ГОСТ Р ИСО/МЭК 10857-95ГОСТ Р ИСО/МЭК 10857-95ГОСТ Р ИСО/МЭК 10857-95ГОСТ Р ИСО/МЭК 10857-95ГОСТ Р ИСО/МЭК 10857-95ГОСТ Р ИСО/МЭК 10857-95ГОСТ Р ИСО/МЭК 10857-95ГОСТ Р ИСО/МЭК 10857-95ГОСТ Р ИСО/МЭК 10857-95ГОСТ Р ИСО/МЭК 10857-95ГОСТ Р ИСО/МЭК 10857-95ГОСТ Р ИСО/МЭК 10857-95ГОСТ Р ИСО/МЭК 10857-95ГОСТ Р ИСО/МЭК 10857-95ГОСТ Р ИСО/МЭК 10857-95ГОСТ Р ИСО/МЭК 10857-95ГОСТ Р ИСО/МЭК 10857-95ГОСТ Р ИСО/МЭК 10857-95ГОСТ Р ИСО/МЭК 10857-95ГОСТ Р ИСО/МЭК 10857-95ГОСТ Р ИСО/МЭК 10857-95ГОСТ Р ИСО/МЭК 10857-95ГОСТ Р ИСО/МЭК 10857-95ГОСТ Р ИСО/МЭК 10857-95ГОСТ Р ИСО/МЭК 10857-95ГОСТ Р ИСО/МЭК 10857-95ГОСТ Р ИСО/МЭК 10857-95ГОСТ Р ИСО/МЭК 10857-95ГОСТ Р ИСО/МЭК 10857-95ГОСТ Р ИСО/МЭК 10857-95ГОСТ Р ИСО/МЭК 10857-95ГОСТ Р ИСО/МЭК 10857-95ГОСТ Р ИСО/МЭК 10857-95ГОСТ Р ИСО/МЭК 10857-95ГОСТ Р ИСО/МЭК 10857-95ГОСТ Р ИСО/МЭК 10857-95ГОСТ Р ИСО/МЭК 10857-95ГОСТ Р ИСО/МЭК 10857-95ГОСТ Р ИСО/МЭК 10857-95ГОСТ Р ИСО/МЭК 10857-95
 




ГОСТЫ, СТРОИТЕЛЬНЫЕ и ТЕХНИЧЕСКИЕ НОРМАТИВЫ.
Некоммерческая онлайн система, содержащая все Российские Госты, национальные Стандарты и нормативы.
В Системе содержится более 150000 файлов нормативно-технической документации, действующей на территории РФ.
Система предназначена для широкого круга инженерно-технических специалистов.

Рейтинг@Mail.ru Яндекс цитирования

Copyright © www.gostrf.com, 2008 - 2026