Крупнейшая бесплатная информационно-справочная система онлайн доступа к полному собранию технических нормативно-правовых актов РФ. Огромная база технических нормативов (более 150 тысяч документов) и полное собрание национальных стандартов, аутентичное официальной базе Госстандарта. GOSTRF.com - это более 1 Терабайта бесплатной технической информации для всех пользователей интернета. Все электронные копии представленных здесь документов могут распространяться без каких-либо ограничений. Поощряется распространение информации с этого сайта на любых других ресурсах. Каждый человек имеет право на неограниченный доступ к этим документам! Каждый человек имеет право на знание требований, изложенных в данных нормативно-правовых актах!

  


 

ГОСТ Р 50020.2-92

Электроустановки для открытых площадок при тяжелых условиях эксплуатации (включая открытые горные разработки и карьеры). Часть 2. Общие требования к защите

Обозначение:ГОСТ Р 50020.2-92
Текущий статус документа: действующий
Название документа рус.:Электроустановки для открытых площадок при тяжелых условиях эксплуатации (включая открытые горные разработки и карьеры). Часть 2. Общие требования к защите
Название документа англ.:Electrical installations for outdoor sites under heavy conditions (including open-cast mines and quarries). Part 2. General protection requirements
Дата актуализации текста:01.12.2013
Дата издания:01.11.2004
Дата введения:01.01.1993
Дата последнего изменения:22.05.2013
Переиздание:переиздание
Область применения:Настоящий стандарт устанавливает:
- требования к защите от непосредственного прикосновения для всех электроустановок напряжением до 1000 В включительно и свше 1000 В;
- требования к защите от косвенного прикосновения с защитным проводником для всех электроустановок напряжением до 1000 В включительно и свше 1000 В;
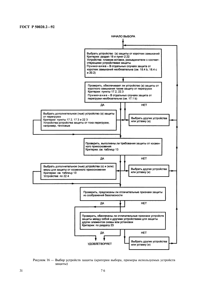
- требования к защите от сверхтока в случае защиты от перегрузки и защиты от короткого замыкания, при совместной защите от перегрузки и короткого замыкания и при согласовании этих защит с проводниками и аппаратами.
В стандарте рассмотрены также факторы, которые следует учитывать при выборе защитных устройств и систем защиты в соответствии с требованиями, предъявляемыми к установкам переменного тока и установкам переменного и постоянного тока
ГОСТ Р 50020.2-92ГОСТ Р 50020.2-92ГОСТ Р 50020.2-92ГОСТ Р 50020.2-92ГОСТ Р 50020.2-92ГОСТ Р 50020.2-92ГОСТ Р 50020.2-92ГОСТ Р 50020.2-92ГОСТ Р 50020.2-92ГОСТ Р 50020.2-92ГОСТ Р 50020.2-92ГОСТ Р 50020.2-92ГОСТ Р 50020.2-92ГОСТ Р 50020.2-92ГОСТ Р 50020.2-92ГОСТ Р 50020.2-92ГОСТ Р 50020.2-92ГОСТ Р 50020.2-92ГОСТ Р 50020.2-92ГОСТ Р 50020.2-92ГОСТ Р 50020.2-92ГОСТ Р 50020.2-92ГОСТ Р 50020.2-92ГОСТ Р 50020.2-92ГОСТ Р 50020.2-92ГОСТ Р 50020.2-92ГОСТ Р 50020.2-92ГОСТ Р 50020.2-92ГОСТ Р 50020.2-92ГОСТ Р 50020.2-92ГОСТ Р 50020.2-92ГОСТ Р 50020.2-92ГОСТ Р 50020.2-92ГОСТ Р 50020.2-92ГОСТ Р 50020.2-92ГОСТ Р 50020.2-92ГОСТ Р 50020.2-92ГОСТ Р 50020.2-92
 




ГОСТЫ, СТРОИТЕЛЬНЫЕ и ТЕХНИЧЕСКИЕ НОРМАТИВЫ.
Некоммерческая онлайн система, содержащая все Российские Госты, национальные Стандарты и нормативы.
В Системе содержится более 150000 файлов нормативно-технической документации, действующей на территории РФ.
Система предназначена для широкого круга инженерно-технических специалистов.

Рейтинг@Mail.ru Яндекс цитирования

Copyright © www.gostrf.com, 2008 - 2026