Крупнейшая бесплатная информационно-справочная система онлайн доступа к полному собранию технических нормативно-правовых актов РФ. Огромная база технических нормативов (более 150 тысяч документов) и полное собрание национальных стандартов, аутентичное официальной базе Госстандарта. GOSTRF.com - это более 1 Терабайта бесплатной технической информации для всех пользователей интернета. Все электронные копии представленных здесь документов могут распространяться без каких-либо ограничений. Поощряется распространение информации с этого сайта на любых других ресурсах. Каждый человек имеет право на неограниченный доступ к этим документам! Каждый человек имеет право на знание требований, изложенных в данных нормативно-правовых актах!

  


 

ГОСТ 29242-91

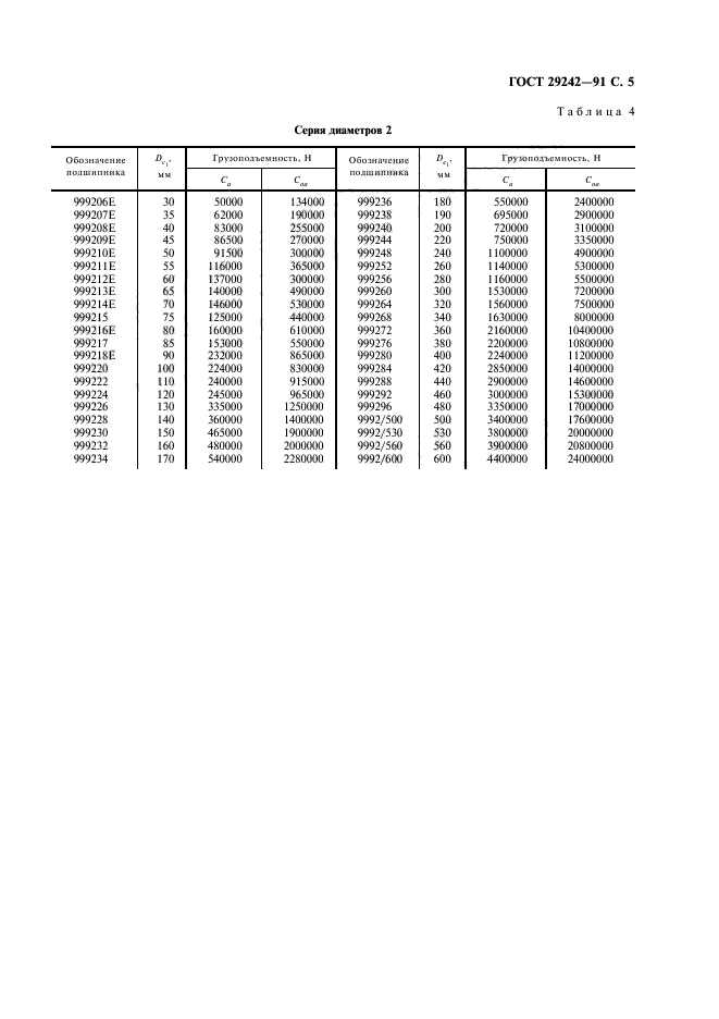
Подшипники упорные роликовые однорядные с короткими цилиндрическими роликами без колец. Технические условия

Обозначение:ГОСТ 29242-91
Текущий статус документа: действующий
Название документа рус.:Подшипники упорные роликовые однорядные с короткими цилиндрическими роликами без колец. Технические условия
Название документа англ.:Single row thrust short cylindrical roller bearings without rings. Specifications
Дата актуализации текста:01.12.2013
Дата издания:01.06.2004
Дата введения:01.01.1993
Дата последнего изменения:22.05.2013
Переиздание:переиздание
Область применения:Настоящий стандарт распространяется на упорные роликовые однорядные подшипники с короткими цилиндрическими роликами без колец серий диаметров 1 и 2 по ГОСТ 3478. Требования пп.1.1, 2.1, 2.2, 2.4-2.10, 3.1, 5.1-5.3 настоящего стандарта являются обязательными, другие требования настоящего стандарта являются рекомендуемыми
ГОСТ 29242-91ГОСТ 29242-91ГОСТ 29242-91ГОСТ 29242-91ГОСТ 29242-91ГОСТ 29242-91ГОСТ 29242-91
 




ГОСТЫ, СТРОИТЕЛЬНЫЕ и ТЕХНИЧЕСКИЕ НОРМАТИВЫ.
Некоммерческая онлайн система, содержащая все Российские Госты, национальные Стандарты и нормативы.
В Системе содержится более 150000 файлов нормативно-технической документации, действующей на территории РФ.
Система предназначена для широкого круга инженерно-технических специалистов.

Рейтинг@Mail.ru Яндекс цитирования

Copyright © www.gostrf.com, 2008 - 2026