Крупнейшая бесплатная информационно-справочная система онлайн доступа к полному собранию технических нормативно-правовых актов РФ. Огромная база технических нормативов (более 150 тысяч документов) и полное собрание национальных стандартов, аутентичное официальной базе Госстандарта. GOSTRF.com - это более 1 Терабайта бесплатной технической информации для всех пользователей интернета. Все электронные копии представленных здесь документов могут распространяться без каких-либо ограничений. Поощряется распространение информации с этого сайта на любых других ресурсах. Каждый человек имеет право на неограниченный доступ к этим документам! Каждый человек имеет право на знание требований, изложенных в данных нормативно-правовых актах!

  


 

ГОСТ 21506-87

Плиты перекрытий железобетонные ребристые высотой 300 мм для зданий и сооружений. Технические условия

Обозначение:ГОСТ 21506-87
Текущий статус документа: действующий
Название документа рус.:Плиты перекрытий железобетонные ребристые высотой 300 мм для зданий и сооружений. Технические условия
Название документа англ.:Reinforced concrete ribbed floor slabs of 300 mm depth for buildings and structures. Specifications
Дата актуализации текста:01.12.2013
Дата издания:02.10.1987
Дата введения:01.01.1988
Дата последнего изменения:22.05.2013
Взамен в части: в части плит высотой 300 мм
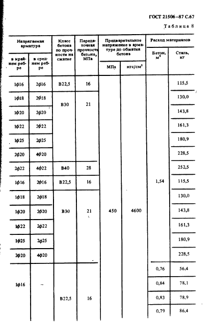
Область применения:Настоящий стандарт распространяется на железобетонные предварительно напряженные ребристые плиты высотой 300 мм, изготовляемые из тяжелого или легкого бетона и предназначенные для перекрытий многоэтажных общественных зданий, производственных и вспомогательных зданий промышленных преприятий и сооружений различного назначения с шагом несущих конструкций 6 м
ГОСТ 21506-87ГОСТ 21506-87ГОСТ 21506-87ГОСТ 21506-87ГОСТ 21506-87ГОСТ 21506-87ГОСТ 21506-87ГОСТ 21506-87ГОСТ 21506-87ГОСТ 21506-87ГОСТ 21506-87ГОСТ 21506-87ГОСТ 21506-87ГОСТ 21506-87ГОСТ 21506-87ГОСТ 21506-87ГОСТ 21506-87ГОСТ 21506-87ГОСТ 21506-87ГОСТ 21506-87ГОСТ 21506-87ГОСТ 21506-87ГОСТ 21506-87ГОСТ 21506-87ГОСТ 21506-87ГОСТ 21506-87ГОСТ 21506-87ГОСТ 21506-87ГОСТ 21506-87ГОСТ 21506-87ГОСТ 21506-87ГОСТ 21506-87ГОСТ 21506-87ГОСТ 21506-87ГОСТ 21506-87ГОСТ 21506-87ГОСТ 21506-87ГОСТ 21506-87ГОСТ 21506-87ГОСТ 21506-87ГОСТ 21506-87ГОСТ 21506-87ГОСТ 21506-87ГОСТ 21506-87ГОСТ 21506-87ГОСТ 21506-87ГОСТ 21506-87ГОСТ 21506-87ГОСТ 21506-87ГОСТ 21506-87ГОСТ 21506-87ГОСТ 21506-87ГОСТ 21506-87ГОСТ 21506-87ГОСТ 21506-87ГОСТ 21506-87ГОСТ 21506-87ГОСТ 21506-87ГОСТ 21506-87ГОСТ 21506-87ГОСТ 21506-87ГОСТ 21506-87ГОСТ 21506-87ГОСТ 21506-87ГОСТ 21506-87ГОСТ 21506-87ГОСТ 21506-87ГОСТ 21506-87ГОСТ 21506-87ГОСТ 21506-87ГОСТ 21506-87ГОСТ 21506-87ГОСТ 21506-87ГОСТ 21506-87ГОСТ 21506-87ГОСТ 21506-87ГОСТ 21506-87ГОСТ 21506-87ГОСТ 21506-87ГОСТ 21506-87ГОСТ 21506-87ГОСТ 21506-87ГОСТ 21506-87ГОСТ 21506-87ГОСТ 21506-87ГОСТ 21506-87ГОСТ 21506-87ГОСТ 21506-87
 




ГОСТЫ, СТРОИТЕЛЬНЫЕ и ТЕХНИЧЕСКИЕ НОРМАТИВЫ.
Некоммерческая онлайн система, содержащая все Российские Госты, национальные Стандарты и нормативы.
В Системе содержится более 150000 файлов нормативно-технической документации, действующей на территории РФ.
Система предназначена для широкого круга инженерно-технических специалистов.

Рейтинг@Mail.ru Яндекс цитирования

Copyright © www.gostrf.com, 2008 - 2026