Крупнейшая бесплатная информационно-справочная система онлайн доступа к полному собранию технических нормативно-правовых актов РФ. Огромная база технических нормативов (более 150 тысяч документов) и полное собрание национальных стандартов, аутентичное официальной базе Госстандарта. GOSTRF.com - это более 1 Терабайта бесплатной технической информации для всех пользователей интернета. Все электронные копии представленных здесь документов могут распространяться без каких-либо ограничений. Поощряется распространение информации с этого сайта на любых других ресурсах. Каждый человек имеет право на неограниченный доступ к этим документам! Каждый человек имеет право на знание требований, изложенных в данных нормативно-правовых актах!

  


 

ГОСТ Р 52423-2005

Аппараты ингаляционной анестезии и искусственной вентиляции легких. Термины и определения

Обозначение:ГОСТ Р 52423-2005
Текущий статус документа: действующий
Название документа рус.:Аппараты ингаляционной анестезии и искусственной вентиляции легких. Термины и определения
Название документа англ.:Anaesthetic and respiratory equipment. Terms and definitions
Дата актуализации текста:01.12.2013
Дата издания:08.06.2006
Дата введения:01.01.2007
Дата последнего изменения:22.05.2013
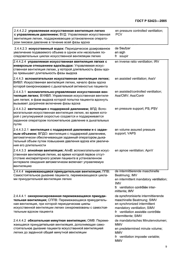
Область применения:Настоящий стандарт устанавливает термины и определения (буквенные обозначения) понятий, относящихся к аппаратам ингаляционой анестезии, аппаратам искусственной вентиляции легких, блокам, частям и системам питания этого оборудования.
Термины, установленные настоящим стандартом, обязательны для применения во всех видах документации и литературы в области медицинской техники, предназначенной для проведения ингаляционной анестезии и искусственной вентиляции легких, а также при создании, исследовании и применении соответствующей аппаратуры
ГОСТ Р 52423-2005ГОСТ Р 52423-2005ГОСТ Р 52423-2005ГОСТ Р 52423-2005ГОСТ Р 52423-2005ГОСТ Р 52423-2005ГОСТ Р 52423-2005ГОСТ Р 52423-2005ГОСТ Р 52423-2005ГОСТ Р 52423-2005ГОСТ Р 52423-2005ГОСТ Р 52423-2005ГОСТ Р 52423-2005ГОСТ Р 52423-2005ГОСТ Р 52423-2005ГОСТ Р 52423-2005ГОСТ Р 52423-2005ГОСТ Р 52423-2005ГОСТ Р 52423-2005ГОСТ Р 52423-2005ГОСТ Р 52423-2005ГОСТ Р 52423-2005ГОСТ Р 52423-2005ГОСТ Р 52423-2005ГОСТ Р 52423-2005ГОСТ Р 52423-2005ГОСТ Р 52423-2005ГОСТ Р 52423-2005ГОСТ Р 52423-2005ГОСТ Р 52423-2005ГОСТ Р 52423-2005ГОСТ Р 52423-2005ГОСТ Р 52423-2005ГОСТ Р 52423-2005ГОСТ Р 52423-2005ГОСТ Р 52423-2005ГОСТ Р 52423-2005ГОСТ Р 52423-2005ГОСТ Р 52423-2005ГОСТ Р 52423-2005ГОСТ Р 52423-2005ГОСТ Р 52423-2005ГОСТ Р 52423-2005ГОСТ Р 52423-2005ГОСТ Р 52423-2005
 




ГОСТЫ, СТРОИТЕЛЬНЫЕ и ТЕХНИЧЕСКИЕ НОРМАТИВЫ.
Некоммерческая онлайн система, содержащая все Российские Госты, национальные Стандарты и нормативы.
В Системе содержится более 150000 файлов нормативно-технической документации, действующей на территории РФ.
Система предназначена для широкого круга инженерно-технических специалистов.

Рейтинг@Mail.ru Яндекс цитирования

Copyright © www.gostrf.com, 2008 - 2026