Крупнейшая бесплатная информационно-справочная система онлайн доступа к полному собранию технических нормативно-правовых актов РФ. Огромная база технических нормативов (более 150 тысяч документов) и полное собрание национальных стандартов, аутентичное официальной базе Госстандарта. GOSTRF.com - это более 1 Терабайта бесплатной технической информации для всех пользователей интернета. Все электронные копии представленных здесь документов могут распространяться без каких-либо ограничений. Поощряется распространение информации с этого сайта на любых других ресурсах. Каждый человек имеет право на неограниченный доступ к этим документам! Каждый человек имеет право на знание требований, изложенных в данных нормативно-правовых актах!

  


 

ГОСТ 30188-97

Цепи грузоподъемные калиброванные высокопрочные. Технические условия

Обозначение:ГОСТ 30188-97
Текущий статус документа: действующий
Название документа рус.:Цепи грузоподъемные калиброванные высокопрочные. Технические условия
Название документа англ.:Calibrated lifting chains of high strength. Specifications
Дата актуализации текста:01.12.2013
Дата издания:01.05.2006
Дата введения:01.01.2002
Дата последнего изменения:22.05.2013
Переиздание:переиздание
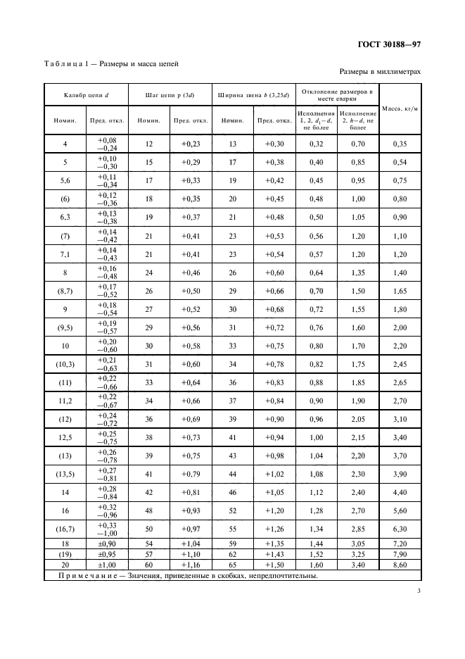
Область применения:Настоящий стандарт распространяется на сварные калиброванные высокопрочные цепи, предназначенные для работы на звездочках в цепных талях и других грузоподъемных устройствах.
Цепи, изготовленные в соответствии с настоящим стандартом, не могут быть использованы в качестве стропов.
Настоящий стандарт устанавливает технические требования к цепям класса прочности Т(8) с напряжением при разрушающей нагрузке не менее 800 МПа
ГОСТ 30188-97ГОСТ 30188-97ГОСТ 30188-97ГОСТ 30188-97ГОСТ 30188-97ГОСТ 30188-97ГОСТ 30188-97ГОСТ 30188-97ГОСТ 30188-97ГОСТ 30188-97ГОСТ 30188-97ГОСТ 30188-97ГОСТ 30188-97ГОСТ 30188-97ГОСТ 30188-97
 




ГОСТЫ, СТРОИТЕЛЬНЫЕ и ТЕХНИЧЕСКИЕ НОРМАТИВЫ.
Некоммерческая онлайн система, содержащая все Российские Госты, национальные Стандарты и нормативы.
В Системе содержится более 150000 файлов нормативно-технической документации, действующей на территории РФ.
Система предназначена для широкого круга инженерно-технических специалистов.

Рейтинг@Mail.ru Яндекс цитирования

Copyright © www.gostrf.com, 2008 - 2026