Крупнейшая бесплатная информационно-справочная система онлайн доступа к полному собранию технических нормативно-правовых актов РФ. Огромная база технических нормативов (более 150 тысяч документов) и полное собрание национальных стандартов, аутентичное официальной базе Госстандарта. GOSTRF.com - это более 1 Терабайта бесплатной технической информации для всех пользователей интернета. Все электронные копии представленных здесь документов могут распространяться без каких-либо ограничений. Поощряется распространение информации с этого сайта на любых других ресурсах. Каждый человек имеет право на неограниченный доступ к этим документам! Каждый человек имеет право на знание требований, изложенных в данных нормативно-правовых актах!

  


 

ГОСТ Р ИСО 5725-1-2002

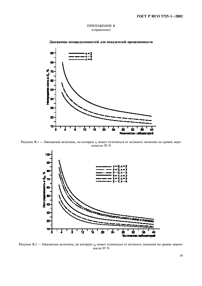
Точность (правильность и прецизионность) методов и результатов измерений. Часть 1. Основные положения и определения

Обозначение:ГОСТ Р ИСО 5725-1-2002
Текущий статус документа: действующий
Название документа рус.:Точность (правильность и прецизионность) методов и результатов измерений. Часть 1. Основные положения и определения
Название документа англ.:Accuracy (trueness and precision) of measurement methods and results. Part 1. General principles and definitions
Дата актуализации текста:01.12.2013
Дата издания:01.03.2009
Дата введения:01.11.2002
Дата последнего изменения:22.05.2013
Переиздание:переиздание с поправкой
Область применения:Настоящий стандарт распространяется на методы измерений непрерывных (в смысле принимаемых значений в измеряемом диапазоне) величин, дающие в качестве результата измерений единственное значение.
Настоящий стандарт может быть применен к очень широкой номенклатуре материалов, включая жидкости, порошки и твердые объекты, произведенные или существующие в природе при условии, что учитывают любую неоднородность материала
Список изменений:№0 от 05.08.2003 (рег. 05.08.2003) «Дата введения перенесена»
Приложение №1:Поправка к ГОСТ Р ИСО 5725-1-2002
ГОСТ Р ИСО 5725-1-2002ГОСТ Р ИСО 5725-1-2002ГОСТ Р ИСО 5725-1-2002ГОСТ Р ИСО 5725-1-2002ГОСТ Р ИСО 5725-1-2002ГОСТ Р ИСО 5725-1-2002ГОСТ Р ИСО 5725-1-2002ГОСТ Р ИСО 5725-1-2002ГОСТ Р ИСО 5725-1-2002ГОСТ Р ИСО 5725-1-2002ГОСТ Р ИСО 5725-1-2002ГОСТ Р ИСО 5725-1-2002ГОСТ Р ИСО 5725-1-2002ГОСТ Р ИСО 5725-1-2002ГОСТ Р ИСО 5725-1-2002ГОСТ Р ИСО 5725-1-2002ГОСТ Р ИСО 5725-1-2002ГОСТ Р ИСО 5725-1-2002ГОСТ Р ИСО 5725-1-2002ГОСТ Р ИСО 5725-1-2002ГОСТ Р ИСО 5725-1-2002ГОСТ Р ИСО 5725-1-2002ГОСТ Р ИСО 5725-1-2002ГОСТ Р ИСО 5725-1-2002ГОСТ Р ИСО 5725-1-2002ГОСТ Р ИСО 5725-1-2002ГОСТ Р ИСО 5725-1-2002ГОСТ Р ИСО 5725-1-2002ГОСТ Р ИСО 5725-1-2002ГОСТ Р ИСО 5725-1-2002ГОСТ Р ИСО 5725-1-2002ГОСТ Р ИСО 5725-1-2002

Поправка к ГОСТ Р ИСО 5725-1-2002

Обозначение:Поправка к ГОСТ Р ИСО 5725-1-2002
Дата введения:05.08.2003


Поправка к ГОСТ Р ИСО 5725-1-2002
 




ГОСТЫ, СТРОИТЕЛЬНЫЕ и ТЕХНИЧЕСКИЕ НОРМАТИВЫ.
Некоммерческая онлайн система, содержащая все Российские Госты, национальные Стандарты и нормативы.
В Системе содержится более 150000 файлов нормативно-технической документации, действующей на территории РФ.
Система предназначена для широкого круга инженерно-технических специалистов.

Рейтинг@Mail.ru Яндекс цитирования

Copyright © www.gostrf.com, 2008 - 2026