Крупнейшая бесплатная информационно-справочная система онлайн доступа к полному собранию технических нормативно-правовых актов РФ. Огромная база технических нормативов (более 150 тысяч документов) и полное собрание национальных стандартов, аутентичное официальной базе Госстандарта. GOSTRF.com - это более 1 Терабайта бесплатной технической информации для всех пользователей интернета. Все электронные копии представленных здесь документов могут распространяться без каких-либо ограничений. Поощряется распространение информации с этого сайта на любых других ресурсах. Каждый человек имеет право на неограниченный доступ к этим документам! Каждый человек имеет право на знание требований, изложенных в данных нормативно-правовых актах!

  


 

ГОСТ 9931-85

Корпусы цилиндрические стальных сварных сосудов и аппаратов. Типы, основные параметры и размеры

Обозначение:ГОСТ 9931-85
Текущий статус документа: действующий
Название документа рус.:Корпусы цилиндрические стальных сварных сосудов и аппаратов. Типы, основные параметры и размеры
Название документа англ.:The cilindrical shells of the steel welded vessels and apparatus. Types, main characteristics and dimensions
Дата актуализации текста:01.12.2013
Дата издания:01.10.1987
Дата введения:01.01.1987
Дата последнего изменения:22.05.2013
Переиздание:переиздание с изм. 1
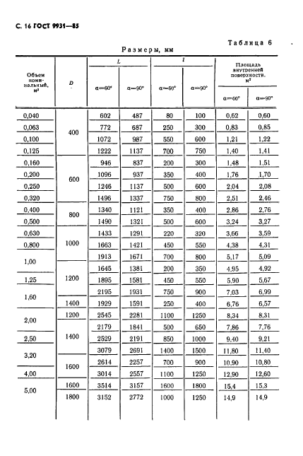
Область применения:Настоящий стандарт распространяется на корпуса вновь разрабатываемых цилиндрических емкостных стальных сварных сосудов и аппаратов (в том числе с антикоррозионными покрытиями) номинальным объемом от 0,01 до 200 куб. м, предназначенных для работы под давлением не более 16,0 МПа (160 кгс/кв. см), под атмосферным давлением и под вакуумом с остаточным давлением не менее 667 Па (5 мм рт. ст.).
Стандарт не распространяется на корпуса газгольдеров, баллонов, сосудов и аппаратов, устанавливаемых на транспортных средствах, а также сосудов и аппаратов, основные размеры которых определяются технологическим расчетом процесса
Список изменений:№1 от 01.07.1987 (рег. 27.03.1987) «Срок действия продлен»
ГОСТ 9931-85ГОСТ 9931-85ГОСТ 9931-85ГОСТ 9931-85ГОСТ 9931-85ГОСТ 9931-85ГОСТ 9931-85ГОСТ 9931-85ГОСТ 9931-85ГОСТ 9931-85ГОСТ 9931-85ГОСТ 9931-85ГОСТ 9931-85ГОСТ 9931-85ГОСТ 9931-85ГОСТ 9931-85ГОСТ 9931-85ГОСТ 9931-85ГОСТ 9931-85ГОСТ 9931-85ГОСТ 9931-85ГОСТ 9931-85ГОСТ 9931-85
 




ГОСТЫ, СТРОИТЕЛЬНЫЕ и ТЕХНИЧЕСКИЕ НОРМАТИВЫ.
Некоммерческая онлайн система, содержащая все Российские Госты, национальные Стандарты и нормативы.
В Системе содержится более 150000 файлов нормативно-технической документации, действующей на территории РФ.
Система предназначена для широкого круга инженерно-технических специалистов.

Рейтинг@Mail.ru Яндекс цитирования

Copyright © www.gostrf.com, 2008 - 2026