Крупнейшая бесплатная информационно-справочная система онлайн доступа к полному собранию технических нормативно-правовых актов РФ. Огромная база технических нормативов (более 150 тысяч документов) и полное собрание национальных стандартов, аутентичное официальной базе Госстандарта. GOSTRF.com - это более 1 Терабайта бесплатной технической информации для всех пользователей интернета. Все электронные копии представленных здесь документов могут распространяться без каких-либо ограничений. Поощряется распространение информации с этого сайта на любых других ресурсах. Каждый человек имеет право на неограниченный доступ к этим документам! Каждый человек имеет право на знание требований, изложенных в данных нормативно-правовых актах!

  


 

ГОСТ 13827-85

Полотна нетканые. Первичная упаковка и маркировка

Обозначение:ГОСТ 13827-85
Текущий статус документа: действующий
Название документа рус.:Полотна нетканые. Первичная упаковка и маркировка
Название документа англ.:Nonwoven fabrics. Primary packing and marking
Дата актуализации текста:01.12.2013
Дата издания:01.03.1999
Дата введения:30.06.1986
Дата последнего изменения:22.05.2013
Переиздание:переиздание с изм. 1
Заменяющий в части: в части разд. 3
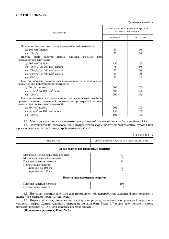
Область применения:Настоящий стандарт распространяется на нетканые полотна, в том числе ватины, мерный и весовой лоскут из всех видов натуральных, химических волокон и их смесей и устанавливает порядок формирования рулонов или кусков, первичной упаковки и маркирования
Список изменений:№0 от 01.01.1994 (рег. 16.08.1992) «Поправка к изменению»
№1 от 01.12.1987 (рег. 10.06.1987) «Срок действия продлен»
№2 от 01.06.1991 (рег. 29.12.1990) «Срок действия продлен»
ГОСТ 13827-85ГОСТ 13827-85ГОСТ 13827-85ГОСТ 13827-85ГОСТ 13827-85ГОСТ 13827-85ГОСТ 13827-85ГОСТ 13827-85
 




ГОСТЫ, СТРОИТЕЛЬНЫЕ и ТЕХНИЧЕСКИЕ НОРМАТИВЫ.
Некоммерческая онлайн система, содержащая все Российские Госты, национальные Стандарты и нормативы.
В Системе содержится более 150000 файлов нормативно-технической документации, действующей на территории РФ.
Система предназначена для широкого круга инженерно-технических специалистов.

Рейтинг@Mail.ru Яндекс цитирования

Copyright © www.gostrf.com, 2008 - 2026