Крупнейшая бесплатная информационно-справочная система онлайн доступа к полному собранию технических нормативно-правовых актов РФ. Огромная база технических нормативов (более 150 тысяч документов) и полное собрание национальных стандартов, аутентичное официальной базе Госстандарта. GOSTRF.com - это более 1 Терабайта бесплатной технической информации для всех пользователей интернета. Все электронные копии представленных здесь документов могут распространяться без каких-либо ограничений. Поощряется распространение информации с этого сайта на любых других ресурсах. Каждый человек имеет право на неограниченный доступ к этим документам! Каждый человек имеет право на знание требований, изложенных в данных нормативно-правовых актах!

  


 

ГОСТ 26619-85

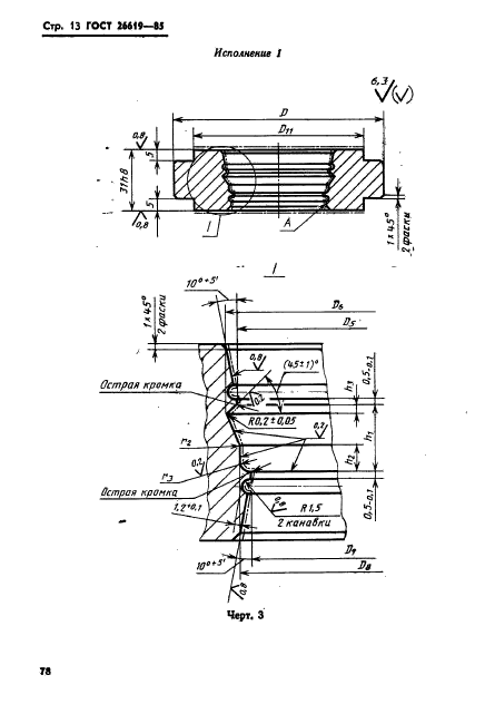
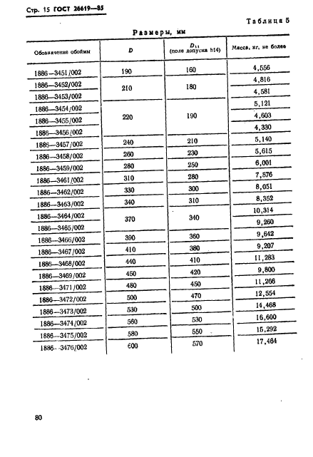
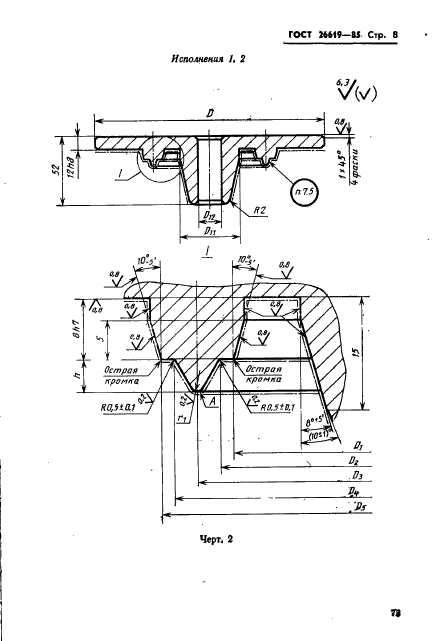
Пресс-формы одноместные для изготовления манжет гидравлических устройств. Конструкция и размеры

Обозначение:ГОСТ 26619-85
Текущий статус документа: действующий
Название документа рус.:Пресс-формы одноместные для изготовления манжет гидравлических устройств. Конструкция и размеры
Название документа англ.:Singll-impression press moulds for manufacturing of rubber u-packing seals. Design and dimensions
Дата актуализации текста:01.12.2013
Дата издания:07.03.1986
Дата введения:06.07.1986
Дата последнего изменения:22.05.2013
Область применения:Настоящий стандарт распространяется на съемные одноместные пресс-формы для изготовления резиновых уплотнительных манжет по ГОСТ 14896-84 типов 1 и 3 размерами от 110х90 до 500х475 мм. Пресс-формы должны изготавливаться трех исполнений: 1 - для манжет размерами от 110х90 до 200х180 мм; 2 - для манжет размерами св. 200х180 до 320х300 мм; 3 - для манжет размерами св. 320х300 до 500х475 мм
ГОСТ 26619-85ГОСТ 26619-85ГОСТ 26619-85ГОСТ 26619-85ГОСТ 26619-85ГОСТ 26619-85ГОСТ 26619-85ГОСТ 26619-85ГОСТ 26619-85ГОСТ 26619-85ГОСТ 26619-85ГОСТ 26619-85ГОСТ 26619-85ГОСТ 26619-85ГОСТ 26619-85ГОСТ 26619-85ГОСТ 26619-85ГОСТ 26619-85ГОСТ 26619-85ГОСТ 26619-85ГОСТ 26619-85
 




ГОСТЫ, СТРОИТЕЛЬНЫЕ и ТЕХНИЧЕСКИЕ НОРМАТИВЫ.
Некоммерческая онлайн система, содержащая все Российские Госты, национальные Стандарты и нормативы.
В Системе содержится более 150000 файлов нормативно-технической документации, действующей на территории РФ.
Система предназначена для широкого круга инженерно-технических специалистов.

Рейтинг@Mail.ru Яндекс цитирования

Copyright © www.gostrf.com, 2008 - 2026