Крупнейшая бесплатная информационно-справочная система онлайн доступа к полному собранию технических нормативно-правовых актов РФ. Огромная база технических нормативов (более 150 тысяч документов) и полное собрание национальных стандартов, аутентичное официальной базе Госстандарта. GOSTRF.com - это более 1 Терабайта бесплатной технической информации для всех пользователей интернета. Все электронные копии представленных здесь документов могут распространяться без каких-либо ограничений. Поощряется распространение информации с этого сайта на любых других ресурсах. Каждый человек имеет право на неограниченный доступ к этим документам! Каждый человек имеет право на знание требований, изложенных в данных нормативно-правовых актах!

  


 

ГОСТ 26191-84

Масла, смазки и специальные жидкости. Ограничительный перечень и порядок назначения

Обозначение:ГОСТ 26191-84
Текущий статус документа: действующий
Название документа рус.:Масла, смазки и специальные жидкости. Ограничительный перечень и порядок назначения
Название документа англ.:Oils, lubricants and special fluids. Limited list and order of application
Дата актуализации текста:01.12.2013
Дата издания:28.07.2011
Дата введения:01.01.1985
Дата последнего изменения:22.05.2013
Переиздание:переиздание
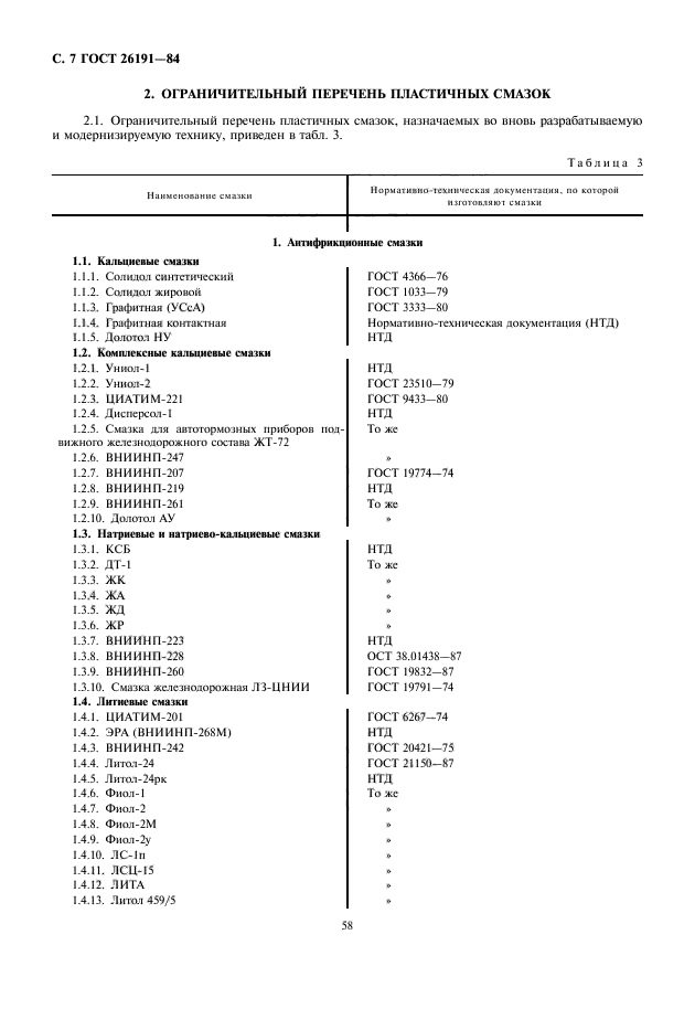
Область применения:Настоящий стандарт устанавливает ограничительный перечень смазочных масел, пластичных смазок и специальных жидкостей, допускаемых к применению в технике, и порядок их назначения.
Стандарт не распространяется на продукцию, разрабатываемую по заказам Министерства обороны СССР, применяемую только в изделиях военной техники, а также на консервационные и технологические материалы
ГОСТ 26191-84ГОСТ 26191-84ГОСТ 26191-84ГОСТ 26191-84ГОСТ 26191-84ГОСТ 26191-84ГОСТ 26191-84ГОСТ 26191-84ГОСТ 26191-84ГОСТ 26191-84ГОСТ 26191-84ГОСТ 26191-84ГОСТ 26191-84ГОСТ 26191-84ГОСТ 26191-84ГОСТ 26191-84ГОСТ 26191-84ГОСТ 26191-84ГОСТ 26191-84ГОСТ 26191-84ГОСТ 26191-84ГОСТ 26191-84ГОСТ 26191-84ГОСТ 26191-84ГОСТ 26191-84ГОСТ 26191-84ГОСТ 26191-84ГОСТ 26191-84ГОСТ 26191-84ГОСТ 26191-84ГОСТ 26191-84ГОСТ 26191-84
 




ГОСТЫ, СТРОИТЕЛЬНЫЕ и ТЕХНИЧЕСКИЕ НОРМАТИВЫ.
Некоммерческая онлайн система, содержащая все Российские Госты, национальные Стандарты и нормативы.
В Системе содержится более 150000 файлов нормативно-технической документации, действующей на территории РФ.
Система предназначена для широкого круга инженерно-технических специалистов.

Рейтинг@Mail.ru Яндекс цитирования

Copyright © www.gostrf.com, 2008 - 2026