Крупнейшая бесплатная информационно-справочная система онлайн доступа к полному собранию технических нормативно-правовых актов РФ. Огромная база технических нормативов (более 150 тысяч документов) и полное собрание национальных стандартов, аутентичное официальной базе Госстандарта. GOSTRF.com - это более 1 Терабайта бесплатной технической информации для всех пользователей интернета. Все электронные копии представленных здесь документов могут распространяться без каких-либо ограничений. Поощряется распространение информации с этого сайта на любых других ресурсах. Каждый человек имеет право на неограниченный доступ к этим документам! Каждый человек имеет право на знание требований, изложенных в данных нормативно-правовых актах!

  


 

ГОСТ 19327-84

Концентраты пищевые. Первые и вторые обеденные блюда. Общие технические условия

Обозначение:ГОСТ 19327-84
Текущий статус документа: действующий
Название документа рус.:Концентраты пищевые. Первые и вторые обеденные блюда. Общие технические условия
Название документа англ.:Food concentrates. First and second dinner courses. General specifications
Дата актуализации текста:01.12.2013
Дата издания:01.04.2003
Дата введения:01.01.1986
Дата последнего изменения:22.05.2013
Переиздание:переиздание с изм. 1
Взамен в части: в части разд. 1, 2, 3, 5
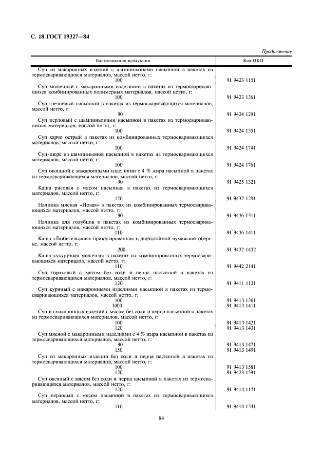
Область применения:Настоящий стандарт распространяется на пищевые концентраты первых и вторых обеденных блюд, представляющие собой различные смеси предварительно подготовленных продуктов без жира или с жиром, без добавления или с добавлением мяса, грибов, копченостей, молока, сахара, сушеных фруктов, пряностей, гидролизатов, глутамината натрия и других обогатителей пищи, выпускаемые в насыпном или брикетированном виде
Список изменений:№1 от 01.07.1988 (рег. 30.12.1987) «Срок действия продлен»
№2 от 01.10.1989 (рег. 04.04.1989) «Срок действия продлен»
№3 от 01.01.1991 (рег. 14.06.1990) «Срок действия продлен»
№4 от 01.09.2000 (рег. 29.02.2000) «Срок действия продлен»
ГОСТ 19327-84ГОСТ 19327-84ГОСТ 19327-84ГОСТ 19327-84ГОСТ 19327-84ГОСТ 19327-84ГОСТ 19327-84ГОСТ 19327-84ГОСТ 19327-84ГОСТ 19327-84ГОСТ 19327-84ГОСТ 19327-84ГОСТ 19327-84ГОСТ 19327-84ГОСТ 19327-84ГОСТ 19327-84ГОСТ 19327-84ГОСТ 19327-84ГОСТ 19327-84ГОСТ 19327-84ГОСТ 19327-84ГОСТ 19327-84
 




ГОСТЫ, СТРОИТЕЛЬНЫЕ и ТЕХНИЧЕСКИЕ НОРМАТИВЫ.
Некоммерческая онлайн система, содержащая все Российские Госты, национальные Стандарты и нормативы.
В Системе содержится более 150000 файлов нормативно-технической документации, действующей на территории РФ.
Система предназначена для широкого круга инженерно-технических специалистов.

Рейтинг@Mail.ru Яндекс цитирования

Copyright © www.gostrf.com, 2008 - 2026