Крупнейшая бесплатная информационно-справочная система онлайн доступа к полному собранию технических нормативно-правовых актов РФ. Огромная база технических нормативов (более 150 тысяч документов) и полное собрание национальных стандартов, аутентичное официальной базе Госстандарта. GOSTRF.com - это более 1 Терабайта бесплатной технической информации для всех пользователей интернета. Все электронные копии представленных здесь документов могут распространяться без каких-либо ограничений. Поощряется распространение информации с этого сайта на любых других ресурсах. Каждый человек имеет право на неограниченный доступ к этим документам! Каждый человек имеет право на знание требований, изложенных в данных нормативно-правовых актах!

  


 

ГОСТ 15156-84

Масла, смазки и специальные жидкости, применяемые в технических изделиях для районов с тропическим климатом

Обозначение:ГОСТ 15156-84
Текущий статус документа: действующий
Название документа рус.:Масла, смазки и специальные жидкости, применяемые в технических изделиях для районов с тропическим климатом
Название документа англ.:Lubricating oils, lubricants and special liquids for industrial use in tropical climate regions
Дата актуализации текста:01.12.2013
Дата издания:28.07.2011
Дата введения:30.06.1985
Дата последнего изменения:22.05.2013
Переиздание:переиздание
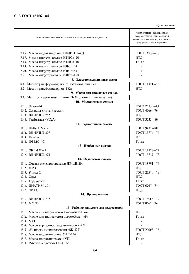
Область применения:Настоящий стандарт распространяется на масла, смазки и специальные жидкости, применяемые в технических изделиях, поставляемых в районы с тропическим климатом по ГОСТ 15151-69, и определяет их перечень.
Стандарт не распространяется на консервационные масла и смазки; на смазочные материалы, применяемые в оптических приборах, авиационной и военной технике; на смазочные материалы, не сменяемые и не пополняемые в процессе хранения, транспортирования и эксплуатации
ГОСТ 15156-84ГОСТ 15156-84ГОСТ 15156-84ГОСТ 15156-84ГОСТ 15156-84ГОСТ 15156-84ГОСТ 15156-84ГОСТ 15156-84
 




ГОСТЫ, СТРОИТЕЛЬНЫЕ и ТЕХНИЧЕСКИЕ НОРМАТИВЫ.
Некоммерческая онлайн система, содержащая все Российские Госты, национальные Стандарты и нормативы.
В Системе содержится более 150000 файлов нормативно-технической документации, действующей на территории РФ.
Система предназначена для широкого круга инженерно-технических специалистов.

Рейтинг@Mail.ru Яндекс цитирования

Copyright © www.gostrf.com, 2008 - 2026