Крупнейшая бесплатная информационно-справочная система онлайн доступа к полному собранию технических нормативно-правовых актов РФ. Огромная база технических нормативов (более 150 тысяч документов) и полное собрание национальных стандартов, аутентичное официальной базе Госстандарта. GOSTRF.com - это более 1 Терабайта бесплатной технической информации для всех пользователей интернета. Все электронные копии представленных здесь документов могут распространяться без каких-либо ограничений. Поощряется распространение информации с этого сайта на любых других ресурсах. Каждый человек имеет право на неограниченный доступ к этим документам! Каждый человек имеет право на знание требований, изложенных в данных нормативно-правовых актах!

  


 

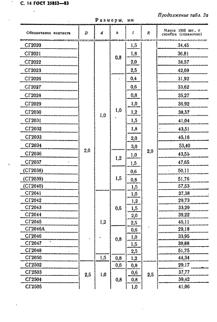
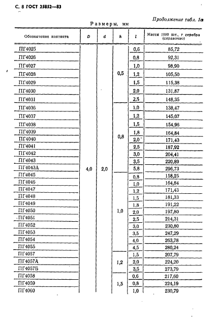
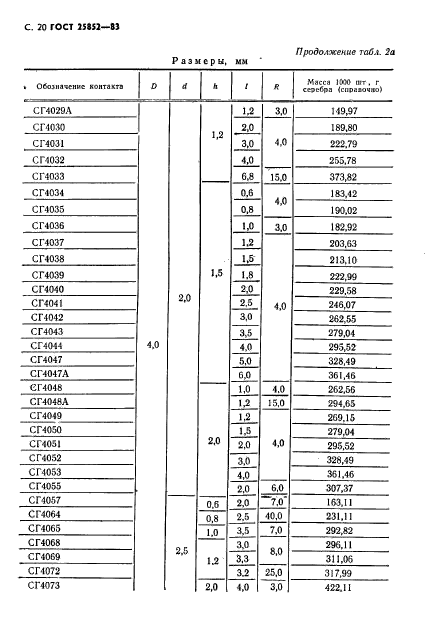
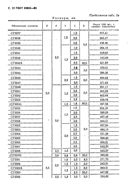
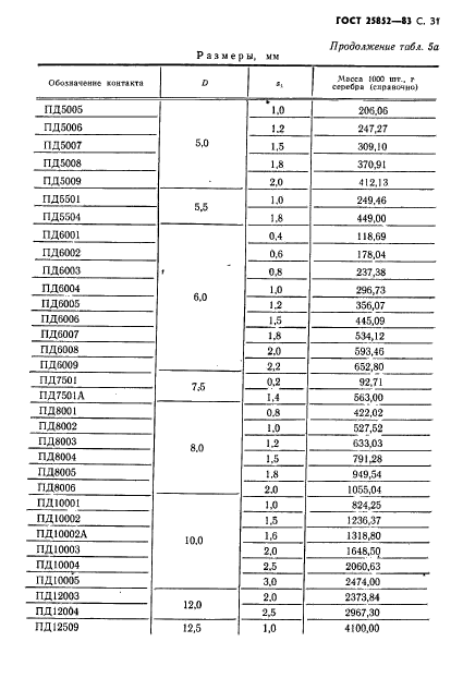
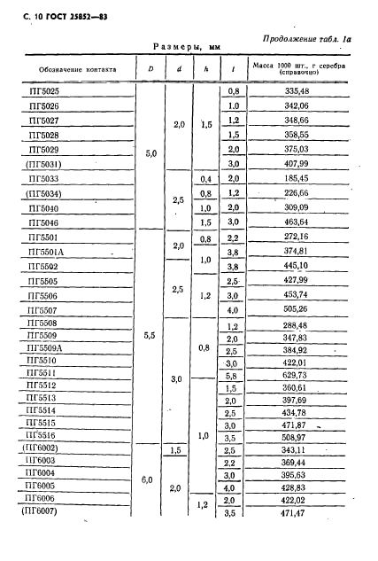
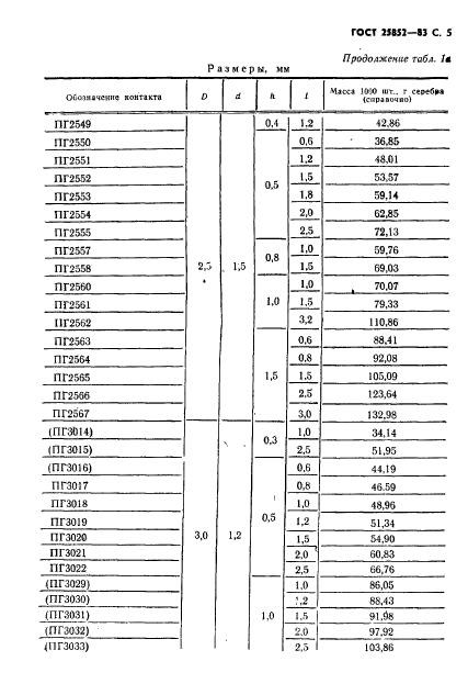
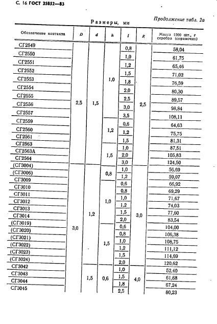
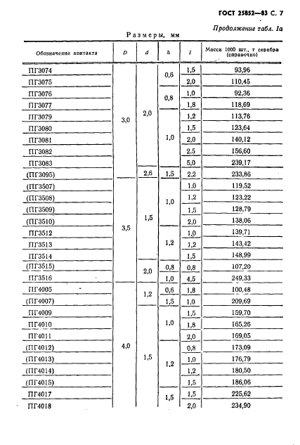
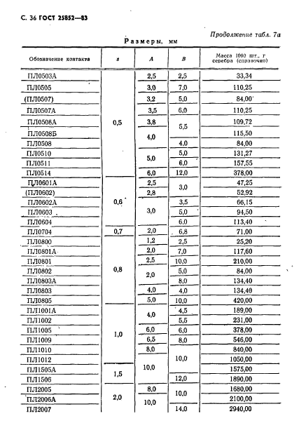
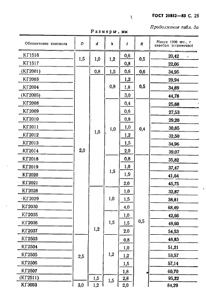
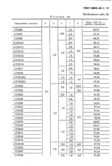
ГОСТ 25852-83

Контакт-детали электрические из благородных металлов и сплавов на их основе. Технические условия

Обозначение:ГОСТ 25852-83
Текущий статус документа: действующий
Название документа рус.:Контакт-детали электрические из благородных металлов и сплавов на их основе. Технические условия
Название документа англ.:Electric contacts from noble metals and their alloys. Specifications
Дата актуализации текста:01.12.2013
Дата издания:01.05.1987
Дата введения:30.06.1984
Дата последнего изменения:22.05.2013
Переиздание:переиздание с изм. 1
Область применения:Настоящий стандарт распространяется на электрические контакт-детали из благородных металлов и сплавов на их основе, изготовляемые штамповкой, холодной высадкой, вырубкой и применяемые в приборостроении, аппаратостроении, электротехнике
Список изменений:№1 от 01.10.1986 (рег. 30.09.1986) «Срок действия продлен»
№2 от 01.07.1987 (рег. 18.02.1987) «Срок действия продлен»
№3 от 01.01.1992 (рег. 26.06.1991) «Срок действия продлен»
№4 от 01.06.2006 (рег. 10.11.2005) «Текстовое изменение; Изменены ссылочные НД»
Приложение №1:Изменение №4 к ГОСТ 25852-83
ГОСТ 25852-83ГОСТ 25852-83ГОСТ 25852-83ГОСТ 25852-83ГОСТ 25852-83ГОСТ 25852-83ГОСТ 25852-83ГОСТ 25852-83ГОСТ 25852-83ГОСТ 25852-83ГОСТ 25852-83ГОСТ 25852-83ГОСТ 25852-83ГОСТ 25852-83ГОСТ 25852-83ГОСТ 25852-83ГОСТ 25852-83ГОСТ 25852-83ГОСТ 25852-83ГОСТ 25852-83ГОСТ 25852-83ГОСТ 25852-83ГОСТ 25852-83ГОСТ 25852-83ГОСТ 25852-83ГОСТ 25852-83ГОСТ 25852-83ГОСТ 25852-83ГОСТ 25852-83ГОСТ 25852-83ГОСТ 25852-83ГОСТ 25852-83ГОСТ 25852-83ГОСТ 25852-83ГОСТ 25852-83ГОСТ 25852-83ГОСТ 25852-83ГОСТ 25852-83ГОСТ 25852-83ГОСТ 25852-83ГОСТ 25852-83ГОСТ 25852-83ГОСТ 25852-83ГОСТ 25852-83ГОСТ 25852-83ГОСТ 25852-83ГОСТ 25852-83ГОСТ 25852-83ГОСТ 25852-83ГОСТ 25852-83ГОСТ 25852-83ГОСТ 25852-83ГОСТ 25852-83ГОСТ 25852-83ГОСТ 25852-83ГОСТ 25852-83ГОСТ 25852-83ГОСТ 25852-83ГОСТ 25852-83ГОСТ 25852-83ГОСТ 25852-83ГОСТ 25852-83ГОСТ 25852-83ГОСТ 25852-83ГОСТ 25852-83

Изменение №4 к ГОСТ 25852-83

Обозначение:Изменение №4 к ГОСТ 25852-83
Дата введения:01.06.2006


Изменение №4 к ГОСТ 25852-83
 




ГОСТЫ, СТРОИТЕЛЬНЫЕ и ТЕХНИЧЕСКИЕ НОРМАТИВЫ.
Некоммерческая онлайн система, содержащая все Российские Госты, национальные Стандарты и нормативы.
В Системе содержится более 150000 файлов нормативно-технической документации, действующей на территории РФ.
Система предназначена для широкого круга инженерно-технических специалистов.

Рейтинг@Mail.ru Яндекс цитирования

Copyright © www.gostrf.com, 2008 - 2026